Foram encontradas 65 questões.
O gráfico da figura representa a função f(x) = log x (Logaritmo de x na base 10) para um valor positivo de x (x > 0).

Assinale a alternativa que apresenta o valor da área hachurada do gráfico.
Provas
Numa caixa há seis bolas numeradas de 1 a 6. Considere todas as bolas iguais em tamanho, cor e densidade. O que as difere são apenas os números. Retiram-se duas bolas ao acaso desta caixa simultaneamente. Assinale a alternativa que apresenta qual a probabilidade de retirar essas duas bolas com números cuja soma deles seja um resultado múltiplo de 3.
Provas
A Lição da Borboleta
Um dia, uma pequena abertura apareceu num casulo; um homem sentou e observou a borboleta por várias horas, enquanto ela se esforçava para fazer com que seu corpo passasse através daquele pequeno buraco. Então, pareceu que ela havia parado de fazer qualquer progresso. Parecia que ela tinha ido o mais longe que podia e não conseguia ir além.
O homem decidiu ajudar a borboleta: ele pegou uma tesoura e cortou o restante do casulo. A borboleta então saiu facilmente. Mas seu pequeno corpo estava murcho e tinha as asas amassadas. O homem continuou a observar a borboleta porque ele esperava que, a qualquer momento, as asas dela se abrissem e se esticassem para serem capazes de suportar o corpo, que iria se afirmar a tempo. Nada aconteceu!
Na verdade, a borboleta passou o resto de sua vida rastejando com um corpo murcho e asas encolhidas. Ela nunca foi capaz de voar. O que o homem, em sua gentileza e vontade de ajudar, não compreendia, era que o casulo apertado e o esforço da borboleta para passar através da pequena abertura eram necessários para que o fluido do corpo da borboleta fosse para as asas, de modo que ela estaria pronta para voar, uma vez que estivesse livre do casulo.
Algumas vezes, o esforço é justamente o que precisamos em nossa vida. Se vivêssemos sem quaisquer obstáculos, não seriamos tão fortes e nunca poderiamos voar... Que a vida seja um eterno desafio, pois só assim voar será realmente possível.
Adaptado de “A Lição da Borboleta” – Autor desconhecido.
Analise atentamente a seguinte estrutura: (...) “Ela nunca foi capaz de voar” (...). Efetue a análise sintática da estrutura mencionada e assinale a alternativa correta.
Provas
A Lição da Borboleta
Um dia, uma pequena abertura apareceu num casulo; um homem sentou e observou a borboleta por várias horas, enquanto ela se esforçava para fazer com que seu corpo passasse através daquele pequeno buraco. Então, pareceu que ela havia parado de fazer qualquer progresso. Parecia que ela tinha ido o mais longe que podia e não conseguia ir além.
O homem decidiu ajudar a borboleta: ele pegou uma tesoura e cortou o restante do casulo. A borboleta então saiu facilmente. Mas seu pequeno corpo estava murcho e tinha as asas amassadas. O homem continuou a observar a borboleta porque ele esperava que, a qualquer momento, as asas dela se abrissem e se esticassem para serem capazes de suportar o corpo, que iria se afirmar a tempo. Nada aconteceu!
Na verdade, a borboleta passou o resto de sua vida rastejando com um corpo murcho e asas encolhidas. Ela nunca foi capaz de voar. O que o homem, em sua gentileza e vontade de ajudar, não compreendia, era que o casulo apertado e o esforço da borboleta para passar através da pequena abertura eram necessários para que o fluido do corpo da borboleta fosse para as asas, de modo que ela estaria pronta para voar, uma vez que estivesse livre do casulo.
Algumas vezes, o esforço é justamente o que precisamos em nossa vida. Se vivêssemos sem quaisquer obstáculos, não seriamos tão fortes e nunca poderiamos voar... Que a vida seja um eterno desafio, pois só assim voar será realmente possível.
Adaptado de “A Lição da Borboleta” – Autor desconhecido.
No que tange a norma culta da língua portuguesa, existem quatro tipos de porquês (por que, porque, por quê e porquê). Analise cuidadosamente o trecho a seguir: (...) “O homem continuou a observar a borboleta porque ele esperava que, a qualquer momento, as asas dela se abrissem (...)”. Assinale a alternativa que justifica o uso do porquê em destaque.
Provas
A Lição da Borboleta
Um dia, uma pequena abertura apareceu num casulo; um homem sentou e observou a borboleta por várias horas, enquanto ela se esforçava para fazer com que seu corpo passasse através daquele pequeno buraco. Então, pareceu que ela havia parado de fazer qualquer progresso. Parecia que ela tinha ido o mais longe que podia e não conseguia ir além.
O homem decidiu ajudar a borboleta: ele pegou uma tesoura e cortou o restante do casulo. A borboleta então saiu facilmente. Mas seu pequeno corpo estava murcho e tinha as asas amassadas. O homem continuou a observar a borboleta porque ele esperava que, a qualquer momento, as asas dela se abrissem e se esticassem para serem capazes de suportar o corpo, que iria se afirmar a tempo. Nada aconteceu!
Na verdade, a borboleta passou o resto de sua vida rastejando com um corpo murcho e asas encolhidas. Ela nunca foi capaz de voar. O que o homem, em sua gentileza e vontade de ajudar, não compreendia, era que o casulo apertado e o esforço da borboleta para passar através da pequena abertura eram necessários para que o fluido do corpo da borboleta fosse para as asas, de modo que ela estaria pronta para voar, uma vez que estivesse livre do casulo.
Algumas vezes, o esforço é justamente o que precisamos em nossa vida. Se vivêssemos sem quaisquer obstáculos, não seriamos tão fortes e nunca poderiamos voar... Que a vida seja um eterno desafio, pois só assim voar será realmente possível.
Adaptado de “A Lição da Borboleta” – Autor desconhecido.
Pode-se afirmar que as palavras são categorizadas em classes (classes de palavras ou classes gramaticais). Essa categorização depende da sua natureza e da sua função gramatical. Existem dez classes de palavras em português: substantivos, adjetivos, artigos, numerais, pronomes e etc. Considerando-se o trecho: “ele pegou uma tesoura e cortou o (...) casulo”. Leia atentamente as assercões abaixo e assinale a única aternativa em que todas as classificações estão corretas.
I. A palavra “ele” é um pronome, mais especificamente, corresponde a terceira pessoa do singular.
II. “pegou” é um verbo e está conjugado no pretérito imperfeito.
III. Pode-se classificar “uma” como um artigo indefinido.
IV. A palavra “tesoura” é um substantivo abstrato.
V. Pode-se afirmar que “e” é uma conjunção.
VI. “cortou’ também é um verbo e também está conjugado no pretérito imperfeito.
VII. Pode-se afirmar que “o” é um artigo definido masculino.
VIII. A palavra “casulo” é um advérbio de modo.
Provas
A Lição da Borboleta
Um dia, uma pequena abertura apareceu num casulo; um homem sentou e observou a borboleta por várias horas, enquanto ela se esforçava para fazer com que seu corpo passasse através daquele pequeno buraco. Então, pareceu que ela havia parado de fazer qualquer progresso. Parecia que ela tinha ido o mais longe que podia e não conseguia ir além.
O homem decidiu ajudar a borboleta: ele pegou uma tesoura e cortou o restante do casulo. A borboleta então saiu facilmente. Mas seu pequeno corpo estava murcho e tinha as asas amassadas. O homem continuou a observar a borboleta porque ele esperava que, a qualquer momento, as asas dela se abrissem e se esticassem para serem capazes de suportar o corpo, que iria se afirmar a tempo. Nada aconteceu!
Na verdade, a borboleta passou o resto de sua vida rastejando com um corpo murcho e asas encolhidas. Ela nunca foi capaz de voar. O que o homem, em sua gentileza e vontade de ajudar, não compreendia, era que o casulo apertado e o esforço da borboleta para passar através da pequena abertura eram necessários para que o fluido do corpo da borboleta fosse para as asas, de modo que ela estaria pronta para voar, uma vez que estivesse livre do casulo.
Algumas vezes, o esforço é justamente o que precisamos em nossa vida. Se vivêssemos sem quaisquer obstáculos, não seriamos tão fortes e nunca poderiamos voar... Que a vida seja um eterno desafio, pois só assim voar será realmente possível.
Adaptado de “A Lição da Borboleta” – Autor desconhecido.
Segundo as regras de acentuação, todas as palavras proparoxítonas são acentuadas, entretanto, essa regra não se aplica as palavras paroxítonas. Atente ao trecho (...) “uma pequena abertura apareceu num casulo” (...). A palavra casulo é uma paroxítona não acentuada. Assinale, dentre as palavras abaixo, a paroxítona que foi acentuada incorretamente.
Provas
A Lição da Borboleta
Um dia, uma pequena abertura apareceu num casulo; um homem sentou e observou a borboleta por várias horas, enquanto ela se esforçava para fazer com que seu corpo passasse através daquele pequeno buraco. Então, pareceu que ela havia parado de fazer qualquer progresso. Parecia que ela tinha ido o mais longe que podia e não conseguia ir além.
O homem decidiu ajudar a borboleta: ele pegou uma tesoura e cortou o restante do casulo. A borboleta então saiu facilmente. Mas seu pequeno corpo estava murcho e tinha as asas amassadas. O homem continuou a observar a borboleta porque ele esperava que, a qualquer momento, as asas dela se abrissem e se esticassem para serem capazes de suportar o corpo, que iria se afirmar a tempo. Nada aconteceu!
Na verdade, a borboleta passou o resto de sua vida rastejando com um corpo murcho e asas encolhidas. Ela nunca foi capaz de voar. O que o homem, em sua gentileza e vontade de ajudar, não compreendia, era que o casulo apertado e o esforço da borboleta para passar através da pequena abertura eram necessários para que o fluido do corpo da borboleta fosse para as asas, de modo que ela estaria pronta para voar, uma vez que estivesse livre do casulo.
Algumas vezes, o esforço é justamente o que precisamos em nossa vida. Se vivêssemos sem quaisquer obstáculos, não seriamos tão fortes e nunca poderiamos voar... Que a vida seja um eterno desafio, pois só assim voar será realmente possível.
Adaptado de “A Lição da Borboleta” – Autor desconhecido.
Sabe-se que as figuras de linguagem afastam-se da linguagem denotativa, geralmente elas estão relacionadas a semântica, ao pensamento, a sintaxe ou ao som. Atente ao trecho (...) “não seriamos tão fortes e nunca poderiamos voar” (...), ao contrário da borboleta, o homem não pode voar. Assinale, dentre as alternativas abaixo, a figura de linguagem que foi utilizada.
Provas
A Lição da Borboleta
Um dia, uma pequena abertura apareceu num casulo; um homem sentou e observou a borboleta por várias horas, enquanto ela se esforçava para fazer com que seu corpo passasse através daquele pequeno buraco. Então, pareceu que ela havia parado de fazer qualquer progresso. Parecia que ela tinha ido o mais longe que podia e não conseguia ir além.
O homem decidiu ajudar a borboleta: ele pegou uma tesoura e cortou o restante do casulo. A borboleta então saiu facilmente. Mas seu pequeno corpo estava murcho e tinha as asas amassadas. O homem continuou a observar a borboleta porque ele esperava que, a qualquer momento, as asas dela se abrissem e se esticassem para serem capazes de suportar o corpo, que iria se afirmar a tempo. Nada aconteceu!
Na verdade, a borboleta passou o resto de sua vida rastejando com um corpo murcho e asas encolhidas. Ela nunca foi capaz de voar. O que o homem, em sua gentileza e vontade de ajudar, não compreendia, era que o casulo apertado e o esforço da borboleta para passar através da pequena abertura eram necessários para que o fluido do corpo da borboleta fosse para as asas, de modo que ela estaria pronta para voar, uma vez que estivesse livre do casulo.
Algumas vezes, o esforço é justamente o que precisamos em nossa vida. Se vivêssemos sem quaisquer obstáculos, não seriamos tão fortes e nunca poderiamos voar... Que a vida seja um eterno desafio, pois só assim voar será realmente possível.
Adaptado de “A Lição da Borboleta” – Autor desconhecido.
Leia atentamente o texto “A Lição da Borboleta”. A primeira vista, textos enquadrados no gênero textual crônica são aparentemente simples, mas podem apresentar severas críticas sociais. Nesse caso específico, há a famosa “moral da história”. Assinale dentre as alternativas abaixo a que apresenta a moral da história do texto.
Provas
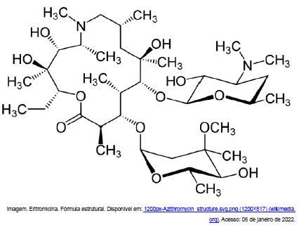
A Eritromicina é um medicamento antibiótico utilizado no tratamento de uma série de infecções bacterianas que acometem os sistemas respiratório, gastrointestinal, genital, dermatológico, oftalmológico, hepático, pancreático e demais. É de uso controlado, indicado para tratamentos de curto prazo, podendo causar uma série de efeitos colaterais quando mal administrado ou ingerido em interação com determinadas substâncias. Pode ser prescrito tanto a crianças quanto adultos.
Os principais efeitos colaterais observados na administração desse medicamento são: sonolência, cansaço excessivo, dores musculares, dores estomacais, gastrites, câimbras musculares, dores de cabeça, irritabilidade, pensamento confuso, alterações nos batimentos cardíacos, sudorese, diarreia, náuseas, vômitos, alterações na mucosa vaginal, alterações na secreção biliar. E sua interação com outras substâncias pode causar alterações dos efeitos ou intensificar as reações adversas, como é o caso das interações com anti-histamínicos, anti-inflamatórios e bebidas alcoólicas, que podem, inclusive, levar a lesões no fígado e no sistema gastrointestinal. Já a administração concomitante com antiácidos pode diminuir a eficácia do medicamento e, por isso, também não é recomendada.
Adaptado. Disponível em: Eritromicina: para que serve, BULA, posologia, efeitos colaterais, como usar (guiamedicobrasileiro.
com.br). Acesso: 06 de janeiro de 2022.
Observe a imagem a seguir

De acordo com a imagem acima, contendo a fórmula estrutural da Eritromicina, assinale a alternativa que apresenta as funções químicas orgânicas nela presentes.
Provas
O petróleo é uma mistura de moléculas de carbono e hidrogênio que tem origem na decomposição de matéria orgânica, principalmente plâncton, formada por meio da ação de bactérias em ambientes com pouco oxigênio. No decorrer de milhões de anos, esse material se acumulou no fundo de oceanos, mares e lagos. Ao ser pressionado pelos movimentos da crosta terrestre, dá origem a mistura que chamamos de petróleo e que é utilizada em várias atividades industriais: combustíveis, tecidos, medicamentos, plásticos, automóveis, entre outras.
Adaptado. Disponível em: Petróleo: o que é e para que serve? - eCycle. Acesso: 06 de janeiro de 2022.
Observe as imagens a seguir.

Utilizando os dados contidos na questão e seus conhecimentos sobre a obtenção de combustíveis a partir do petróleo, assinale a alternativa correta que apresenta o processo de separação de misturas mais relevante durante a obtenção destes combustíveis e a propriedade física adequada utilizada para esta separação, respectivamente.
Provas
Caderno Container