Magna Concursos

Foram encontradas 40 questões.

3964505 Ano: 2026
Disciplina: Matemática
Banca: FUNDATEC
Orgão: Câm. Uruguaiana-RS
Provas:
Laura tem um terreno retangular com 15 m de largura e 32 m de comprimento. Nesse terreno, ela reservou um espaço retangular de 4 m de largura e 5 m de comprimento para fazer uma área de brincar para seus filhos. Qual é a área, em metros quadrados, desse espaço destinado às crianças?
 

Provas

Questão presente nas seguintes provas
3964504 Ano: 2026
Disciplina: Matemática
Banca: FUNDATEC
Orgão: Câm. Uruguaiana-RS
Provas:
Lúcia é auxiliar administrativa. Em um único dia, ela atendeu 35 ligações externas e 52 ligações internas. Considerando que cada ligação externa demora, em média, 3 minutos e cada ligação interna, em média, 2 minutos, quantos minutos Lúcia passou atendendo ligações nesse dia?
 

Provas

Questão presente nas seguintes provas
3964503 Ano: 2026
Disciplina: Matemática
Banca: FUNDATEC
Orgão: Câm. Uruguaiana-RS
Provas:
Uma piscina tem formato de um cilindro circular reto, mede 80 cm e tem 2 metros de raio. Qual é a capacidade total, em litros, dessa piscina? (Considere π = 3,14).
 

Provas

Questão presente nas seguintes provas
3964502 Ano: 2026
Disciplina: Raciocínio Lógico
Banca: FUNDATEC
Orgão: Câm. Uruguaiana-RS
Provas:
Se Mauro é motorista, então Cláudio é frentista. Se Cláudio é frentista, então Mateus é operador de máquinas. Se Mateus é operador de máquinas, então José é agente de transportes. Se José é agente de transportes, então Laís não é professora. Se Laís não é professora, então Marcelo é jogador. Se Marcelo é jogador, então João é carteiro. Considerando que João não seja carteiro, é correto afirmar que:
 

Provas

Questão presente nas seguintes provas
3964501 Ano: 2026
Disciplina: Raciocínio Lógico
Banca: FUNDATEC
Orgão: Câm. Uruguaiana-RS
Provas:
Os números que substituem os valores de x e y na sequência lógica abaixo, correta e respectivamente, são: 
–6, –12, –9, –18, –15, x, –27, –54, y ....
 

Provas

Questão presente nas seguintes provas
3964500 Ano: 2026
Disciplina: Matemática
Banca: FUNDATEC
Orgão: Câm. Uruguaiana-RS
Provas:

Sejam os polinômios P(x) = x4 + 3x2 – 7x e Q(x) = x – 2 , é correto afirmar que:

 

Provas

Questão presente nas seguintes provas
3964499 Ano: 2026
Disciplina: Matemática
Banca: FUNDATEC
Orgão: Câm. Uruguaiana-RS
Provas:
Marta é auxiliar administrativa em uma empresa e recebeu R$ 1.500,00 para efetuar alguns pagamentos. Desse valor, 35% foi gasto em uma papelaria. Do valor gasto na papelaria, 15% foi usado para comprar material de escritório. Qual foi o valor gasto com material de escritório?
 

Provas

Questão presente nas seguintes provas
3964498 Ano: 2026
Disciplina: Matemática
Banca: FUNDATEC
Orgão: Câm. Uruguaiana-RS
Provas:
Pedro é agente de transporte municipal. Ele gastou R$ 275,00 ao abastecer com 45 litros de combustível. Qual é o valor do litro do combustível, considerando duas casas decimais?
 

Provas

Questão presente nas seguintes provas
3964497 Ano: 2026
Disciplina: Raciocínio Lógico
Banca: FUNDATEC
Orgão: Câm. Uruguaiana-RS
Provas:

Sejam os conjuntos:

A = { -3, -2, 2, 3}

B = {1, 2, 3, 4}

C = { -4, -3, -2, -1, 0, 1

Referente às operações de conjuntos, analise as assertivas abaixo:

I. A ∪ B = { -3, -2, 1, 2, 3, 4}

II. B ∩ C = { 0, 1}

III. C – A = { -4, -3, -2, -1, 0, 1}

Quais estão corretas?

 

Provas

Questão presente nas seguintes provas
3964496 Ano: 2026
Disciplina: Raciocínio Lógico
Banca: FUNDATEC
Orgão: Câm. Uruguaiana-RS
Provas:

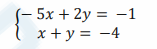
Seja o sistema de equações de 1º grau a seguir, qual é o produto entre o valor de x e y?

Enunciado 4948731-1

 

Provas

Questão presente nas seguintes provas