Magna Concursos

Foram encontradas 750 questões.

519217 Ano: 2018
Disciplina: Engenharia Civil
Banca: FGV
Orgão: Câm. Salvador-BA
Provas:

Para a execução de 1 m2 de alvenaria estrutural de bloco cerâmico (19 X 19 X 39 cm) ESP. = 19 cm com argamassa de cimento, cal e areia são consumidos: 0,40 h de pedreiro, 0,60 h de servente, 13 blocos cerâmicos, 0,4 kg de cal hidratada, 0,02 m3 de areia lavada e 3,9 kg de cimento Portland.

Por decisão do empreiteiro, o BDI será nulo e os custos desses insumos, incluindo os encargos sociais de mão de obra, estão descritos a seguir.

enunciado 519217-1

O custo unitário total desse serviço, incluindo materiais e mão de obra, é:

 

Provas

Questão presente nas seguintes provas
519216 Ano: 2018
Disciplina: Engenharia Civil
Banca: FGV
Orgão: Câm. Salvador-BA
Provas:

O controle de mão de obra usualmente é feito por meio de histogramas, com frequência mensal, pelo acompanhamento das quantidades por categoria, conforme os dados a seguir.

enunciado 519216-1

Considerando a obra relacionada a esses dados, que teve um tempo de execução de cinco meses, é correto afirmar que:

 

Provas

Questão presente nas seguintes provas
519215 Ano: 2018
Disciplina: Engenharia Civil
Banca: FGV
Orgão: Câm. Salvador-BA
Provas:

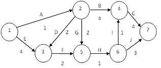
Na rede PERT abaixo, o projeto se inicia no nó 1 e termina no nó 7. As setas representam atividades nomeadas com letras (de A até J), que possuem duração expressa em dias corridos marcada pelos números. Os círculos mostram as incidências de início e término das atividades.

enunciado 519215-1

O caminho crítico do projeto é:

 

Provas

Questão presente nas seguintes provas
519214 Ano: 2018
Disciplina: Engenharia Civil
Banca: FGV
Orgão: Câm. Salvador-BA
Provas:
Um modo usual de manejo da irrigação pelo balanço solo-água-ar é o emprego do método tensiométrico. A figura abaixo mostra a curva de retenção da água no solo ou curva característica, obtida com um tensiômetro em uma camada correspondente à zona de raízes Z de 20 cm.
enunciado 519214-1
Sabendo-se que é recomendada a irrigação quando o tensiômetro apresenta uma leitura de 0,3 bar, que o valor da capacidade de campo (em peso) nessa camada é de 33,5% e que a massa específica global do solo é de 1,3 g/cm3 , a lâmina líquida necessária para levar esse solo à capacidade de campo é:
 

Provas

Questão presente nas seguintes provas
519213 Ano: 2018
Disciplina: Engenharia Civil
Banca: FGV
Orgão: Câm. Salvador-BA
Provas:

Em uma rodovia, a drenagem busca controlar a água que, sob qualquer forma, viesse a atingir o corpo da estrada, captando-a e conduzindo-a para locais seguros.

A figura abaixo mostra um trecho em meia encosta onde um corte compensou um aterro que gerou o tabuleiro estradal. Essa mostra ainda os dispositivos de drenagem superficial usados na proteção.

enunciado 519213-1

As sarjetas de pé de corte são dispositivos de drenagem longitudinal construídos lateralmente às pistas de rolamento e às plataformas dos escalonamentos, destinados a interceptar os deflúvios, que escoando pelo talude ou terrenos marginais podem comprometer a estabilidade dos taludes, a integridade dos pavimentos e a segurança do tráfego. Geralmente têm, por razões de segurança, a forma triangular ou retangular.

Essa sarjeta está indicada no item:

 

Provas

Questão presente nas seguintes provas
519212 Ano: 2018
Disciplina: Engenharia Civil
Banca: FGV
Orgão: Câm. Salvador-BA
Provas:

Observe a viga isostática da figura abaixo.

enunciado 519212-1

A carga distribuída q = 1 t/m e as distâncias cotadas são: x = 3 m, a = 8 m e b = 6 m.

O valor do momento fletor na seção S, que dista x do apoio da esquerda, é:

 

Provas

Questão presente nas seguintes provas
519211 Ano: 2018
Disciplina: Engenharia Civil
Banca: FGV
Orgão: Câm. Salvador-BA
Provas:

Solos com diferentes proporções de areia, silte e argila resultam em diferentes classes texturais. Nessa classificação é comum o uso do diagrama triangular abaixo, que descreve as misturas com seus respectivos nomes.

enunciado 519211-1

Um solo que apresenta 35% de argila, 15% de areia e 50% de silte é classificado como:

 

Provas

Questão presente nas seguintes provas
519210 Ano: 2018
Disciplina: Engenharia Civil
Banca: FGV
Orgão: Câm. Salvador-BA
Provas:

Buscando suprir um abastecimento de água com demanda de vazão de 1400 L/s, um engenheiro precisa construir um reservatório de regularização.

As vazões médias mensais, em um ano crítico, afluentes à seção transversal onde será localizado o barramento são:

enunciado 519210-1

O volume d’água mínimo a ser armazenado no reservatório é:

 

Provas

Questão presente nas seguintes provas
519208 Ano: 2018
Disciplina: Engenharia Civil
Banca: FGV
Orgão: Câm. Salvador-BA
Provas:

Observe a estrutura hiperestática da figura.

enunciado 519208-1

O grau hiperestático dessa estrutura é:

 

Provas

Questão presente nas seguintes provas
519207 Ano: 2018
Disciplina: Engenharia Civil
Banca: FGV
Orgão: Câm. Salvador-BA
Provas:

A figura abaixo mostra o detalhe em corte de um telhado a ser executado com estrutura de madeira e telhas cerâmicas.

enunciado 519207-1

A peça indicada pelo número II é conhecida como:

 

Provas

Questão presente nas seguintes provas