Magna Concursos

Foram encontradas 30 questões.

3470229 Ano: 2024
Disciplina: Estatística
Banca: COTEC
Orgão: Câm. Mirabela-MG
Provas:

Uma amostra com 10 elementos é formada por números inteiros positivos e possui média aritmética igual a 327. O maior valor possível contido nessa amostra é

 

Provas

Questão presente nas seguintes provas
3470226 Ano: 2024
Disciplina: Matemática
Banca: COTEC
Orgão: Câm. Mirabela-MG
Provas:

O guarda roupa de Joana possui 18 calças, 37 camisetas e 26 vestidos. Joana vai doar uma peça escolhida ao acaso. A probabilidade de a peça doada não ser um vestido é:

 

Provas

Questão presente nas seguintes provas
3470225 Ano: 2024
Disciplina: Matemática
Banca: COTEC
Orgão: Câm. Mirabela-MG
Provas:

Um triângulo retângulo isósceles possui os dois catetos medindo X e a medida da hipotenusa é Y:. Logo, a área desse triângulo pode ser representada por

 

Provas

Questão presente nas seguintes provas
3470224 Ano: 2024
Disciplina: Matemática
Banca: COTEC
Orgão: Câm. Mirabela-MG
Provas:

Fatorando o polinômio x6 + x5 + x4 + x3 + x2 + x, encontra-se

 

Provas

Questão presente nas seguintes provas
3470223 Ano: 2024
Disciplina: Matemática
Banca: COTEC
Orgão: Câm. Mirabela-MG
Provas:

Uma função polinomial de grau 2 f(x) = ax²+bx+c é tal que a soma de suas raízes é 3. Nesse caso, o valor de x do vértice é?

 

Provas

Questão presente nas seguintes provas
3470222 Ano: 2024
Disciplina: Matemática
Banca: COTEC
Orgão: Câm. Mirabela-MG
Provas:

Considerando a divisão do polinômio p(x) = -2x³+4x²-x+1 pelo polinômio q(x) = x+2, pode-se afirmar que

 

Provas

Questão presente nas seguintes provas
3470221 Ano: 2024
Disciplina: Matemática
Banca: COTEC
Orgão: Câm. Mirabela-MG
Provas:

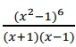
Simplificando a operação: Enunciado 4031755-1, pode-se obter:

 

Provas

Questão presente nas seguintes provas
3470220 Ano: 2024
Disciplina: Matemática
Banca: COTEC
Orgão: Câm. Mirabela-MG
Provas:

Considere a sequência de números inteiros 1, 2, 3, 10, 43, 73 e 81. São primos os números

 

Provas

Questão presente nas seguintes provas
3470219 Ano: 2024
Disciplina: Matemática
Banca: COTEC
Orgão: Câm. Mirabela-MG
Provas:

Uma fábrica produz 200 unidades de produto, em 5 horas, usando 6 máquinas. Considerando a proporcionalidade, em quanto tempo a fábrica produziria 300 unidades do mesmo produto usando 4 máquinas?

 

Provas

Questão presente nas seguintes provas
3470218 Ano: 2024
Disciplina: Matemática
Banca: COTEC
Orgão: Câm. Mirabela-MG
Provas:

Em uma prova contendo apenas questões de português e matemática, João acertou 3/5 das questões. Das questões que ele errou, 1/3 foram de português. Considerando todas as questões, a fração de questões de português que João errou é:

 

Provas

Questão presente nas seguintes provas