Magna Concursos

Foram encontradas 40 questões.

44739 Ano: 2004
Disciplina: TI - Desenvolvimento de Sistemas
Banca: FUNDEP
Orgão: Câm. Belo Horizonte-MG
Provas:

Analise estas afirmativas concernentes ao Diagrama de Interação da LMU:

I. Representa as mensagens que os objetos trocam entre si.

II. Enfatiza uma seqüência temporal por meio do Diagrama de Seqüência.

III. O Diagrama de Colaboração é um tipo de Diagrama de Interação.

A partir dessa análise, podese concluir que

 

Provas

Questão presente nas seguintes provas
44738 Ano: 2004
Disciplina: TI - Desenvolvimento de Sistemas
Banca: FUNDEP
Orgão: Câm. Belo Horizonte-MG
Provas:

Analise estas afirmativas concernentes ao diagrama de classe da LMU:

I. Representa a hierarquia de herança simples.

II. Representa a hierarquia de herança múltipla.

III. Representa os estados que os objetos de uma classe podem assumir.

A partir dessa análise, podese concluir que

 

Provas

Questão presente nas seguintes provas
44737 Ano: 2004
Disciplina: TI - Desenvolvimento de Sistemas
Banca: FUNDEP
Orgão: Câm. Belo Horizonte-MG
Provas:

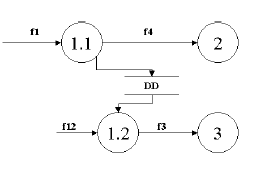
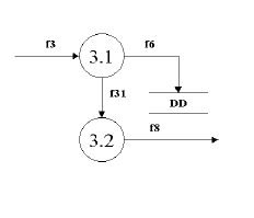
Analise este diagrama:

Enunciado 3862927-1

Assinale a alternativa que apresenta uma “explosão” CORRETA desse diagrama.

 

Provas

Questão presente nas seguintes provas
44736 Ano: 2004
Disciplina: TI - Desenvolvimento de Sistemas
Banca: FUNDEP
Orgão: Câm. Belo Horizonte-MG
Provas:

Analise estas afirmativas concernentes a modelos de processo de desenvolvimento de software:

I. A prototipagem é um modelo incremental que enfatiza um ciclo de desenvolvimento extremamente pequeno.

II. O modelo incremental e o modelo espiral associam elementos do modelo seqüencial linear e da prototipagem.

III. O modelo de desenvolvimento rápido de aplicação cria um “projeto rápido”, enfatizando a representação de aspectos que serão visíveis ao usuário.

A partir dessa análise, podese concluir que

 

Provas

Questão presente nas seguintes provas
44735 Ano: 2004
Disciplina: TI - Desenvolvimento de Sistemas
Banca: FUNDEP
Orgão: Câm. Belo Horizonte-MG
Provas:

Analise estas afirmativas concernentes a abordagens de análise:

I. A análise estruturada usa intensivamente a decomposição funcional.

II. O primeiro passo da análise orientada a objetos consiste em entender como o sistema será usado.

III. A LMU (Linguagem de Modelagem Unificada) é uma metodologia para desenvolvimento de software derivada das técnicas de Modelagem Baseada em Objeto.

A partir dessa análise, podese concluir que

 

Provas

Questão presente nas seguintes provas
44734 Ano: 2004
Disciplina: TI - Desenvolvimento de Sistemas
Banca: FUNDEP
Orgão: Câm. Belo Horizonte-MG
Provas:
Numere a COLUNA II de acordo com a COLUNA I, associando corretamente cada distribuição de componentes de software cliente/servidor à sua caracterização:
COLUNA I
1. Apresentação distribuída
2. Base de dados distribuída
3. Gestão de dados remota
4. Lógica distribuída
COLUNA II
( ) As aplicações do servidor transformam dados, criando uma nova fonte de dados.
( ) Os dados encontram-se espalhados em múltiplos servidores.
( ) As tarefas de apresentação ao usuário são do cliente e as de gestão da base de dados são do servidor.
( ) A lógica da base de dados e da aplicação encontra-se no servidor.
Assinale a alternativa que apresenta a seqüência de números CORRETA.
 

Provas

Questão presente nas seguintes provas
44733 Ano: 2004
Disciplina: TI - Desenvolvimento de Sistemas
Banca: FUNDEP
Orgão: Câm. Belo Horizonte-MG
Provas:

Considere esta árvore B de ordem 2:

Enunciado 3826745-1

Assinale a alternativa que apresenta CORRETAMENTE essa mesma árvore depois da inclusão do número 28.

 

Provas

Questão presente nas seguintes provas
44732 Ano: 2004
Disciplina: TI - Desenvolvimento de Sistemas
Banca: FUNDEP
Orgão: Câm. Belo Horizonte-MG
Provas:
Numere a COLUNA II de acordo com a COLUNA I, associando corretamente cada tipo de coesão em projetos estruturados de sistemas à sua caracterização:
COLUNA I
1. Funcional
2. Sequencial
3. Comunicacional
4. Procedural
COLUNA II
( ) Os elementos do módulo realizam atividades que têm a mesma entrada de dados.
( ) Os elementos do módulo executam uma única tarefa.
( ) Os dados de saída de uma atividade são usados como dados de entrada da próxima atividade.
( ) Os controles fluem entre as atividades.
Assinale a alternativa que apresenta a sequência de números CORRETA.
 

Provas

Questão presente nas seguintes provas
44731 Ano: 2004
Disciplina: TI - Desenvolvimento de Sistemas
Banca: FUNDEP
Orgão: Câm. Belo Horizonte-MG
Provas:

Analise estas afirmativas concernentes a objetivos das técnicas de construção de algoritmos estruturados e assinale com V as verdadeiras e com F as falsas:

( ) Antecipar a verificação de sua correção.

( ) Facilitar as atividades de manutenção e modificação dos algoritmos.

( ) Facilitar o entendimento das soluções propostas.

Assinale a alternativa que apresenta a seqüência de letras CORRETA.

 

Provas

Questão presente nas seguintes provas
44730 Ano: 2004
Disciplina: TI - Redes de Computadores
Banca: FUNDEP
Orgão: Câm. Belo Horizonte-MG
Provas:

Analise estas afirmativas concernentes a atribuições da camada de rede do modelo OSI:

I. Divide as mensagens grandes em pequenos pacotes para transmissão e reagrupa a mensagem na recepção.

II. Executa o roteamento de mensagens pela rede.

III. Coloca endereços físicos das interfaces de origem e destino no pacote a ser transmitido.

A partir dessa análise, pode-se concluir que

 

Provas

Questão presente nas seguintes provas