Magna Concursos

Foram encontradas 100 questões.

1118621 Ano: 2016
Disciplina: Matemática
Banca: IBFC
Orgão: Câm. Araraquara-SP
Uma reta r passa pelo ponto P(3,2) e pelo ponto que representa o centro da circunferência de equação (x-2)2 + ( x + 3)2 = 9. Nessas condições, a equação da reta r é dada por:
 

Provas

Questão presente nas seguintes provas
1118620 Ano: 2016
Disciplina: Matemática
Banca: IBFC
Orgão: Câm. Araraquara-SP
O número complexo que representa o conjugado da soma entre os números complexos z1= 3 - 2i e z2 = 4 + 7i é igual a:
 

Provas

Questão presente nas seguintes provas
1118619 Ano: 2016
Disciplina: Matemática
Banca: IBFC
Orgão: Câm. Araraquara-SP
A soma dos coeficientes do polinômio P(x) = 3x3 - 7x2 + 5x + m é igual ao dobro do termo independente. Nessas condições, o valor de m é igual a:
 

Provas

Questão presente nas seguintes provas
1118618 Ano: 2016
Disciplina: Matemática
Banca: IBFC
Orgão: Câm. Araraquara-SP
A imagem da função f(x) = 22x -3, sendo que o valor de x é a maior raiz da função f(x) = x2 - 5x + 4, é:
 

Provas

Questão presente nas seguintes provas
1118617 Ano: 2016
Disciplina: Matemática
Banca: IBFC
Orgão: Câm. Araraquara-SP
O coeficiente angular da reta cuja equação é 4x+ 2 y - 7 = 0 é igual a:
 

Provas

Questão presente nas seguintes provas
1118616 Ano: 2016
Disciplina: Matemática
Banca: IBFC
Orgão: Câm. Araraquara-SP

Um número que não pode ser escrito na forma enunciado 1118616-1 , com a ∈ Z e b ∈ Z* pertence ao conjunto dos irracionais.

Dessa forma, dentre as alternativas, o único número que não é irracional é:

 

Provas

Questão presente nas seguintes provas
1118614 Ano: 2016
Disciplina: Matemática
Banca: IBFC
Orgão: Câm. Araraquara-SP

O valor do determinante de uma matriz quadrada de ordem 2, tal que aij = 2i + j, é:

 

Provas

Questão presente nas seguintes provas
1118613 Ano: 2016
Disciplina: Matemática
Banca: IBFC
Orgão: Câm. Araraquara-SP
A soma de todos os números da sequencia: 3, 7,11, 15, ..., 79 é igual a:
 

Provas

Questão presente nas seguintes provas
1118612 Ano: 2016
Disciplina: Matemática
Banca: IBFC
Orgão: Câm. Araraquara-SP
Se o valor do apótema de um triângulo equilátero inscrito numa circunferência é igual a 4 cm, então a medida do lado, em cm, de um hexágono regular inscrito na mesma circunferência é igual a:
 

Provas

Questão presente nas seguintes provas
1118611 Ano: 2016
Disciplina: Matemática
Banca: IBFC
Orgão: Câm. Araraquara-SP
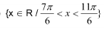
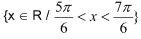
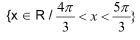
A solução da inequação 2.sen(x) < -1, para 0 ≤ x ≤ 2 π , é:
 

Provas

Questão presente nas seguintes provas