Foram encontradas 120 questões.
A economia do setor público é o pilar econômico que permite a compreensão das atividades governamentais, em particular no que se refere às finanças públicas. Em relação a esse assunto, julgue o item que se segue. Nesse sentido, considere que a sigla NFSP, sempre que for utilizada, se refere a Necessidade de Financiamento do Setor Público.
O estado democrático depende diretamente de suas instituições, as quais estão inseridas e dependem da estrutura econômica e social do país, bem como de seu sistema cultural.Provas
Questão presente nas seguintes provas
- História EconômicaEconomia Mundial Contemporânea
- MacroeconomiaContas Nacionais
- MacroeconomiaEconomia Internacional na Macroeconomia
Acerca da evolução do déficit e da dívida pública brasileira, julgue o próximo item.
A relação dívida sobre PIB do Brasil é superior a de países desenvolvidos, como França e Japão.Provas
Questão presente nas seguintes provas
Com relação aos planos econômicos do Brasil, julgue o item que se segue.
Com o Plano Real, lançou-se previamente a Unidade Real de Valor (URV) com o objetivo de alinhar os preços e reduzir as possibilidades de fracasso, à semelhança dos planos econômicos anteriores.Provas
Questão presente nas seguintes provas
- Economia do TrabalhoInflação e Mercado de Trabalho
- Economia Monetária
- História Econômica
- MacroeconomiaIntrodução à Macroeconomia
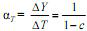
Acerca da teoria keynesiana, das políticas fiscal e monetária e do mercado de trabalho, julgue o item subsequente.
O multiplicador keynesiano indica que, toda vez que ocorre aumento da demanda agregada autônoma, haverá aumento mais que proporcional na renda da economia. Considerando-se os componentes autônomos, é correto afirmar que o multiplicador dos tributos corresponde à equação
, em que Y é a renda total, T os tributos e c a propensão marginal a consumir.Provas
Questão presente nas seguintes provas
- MicroeconomiaEstruturas de Mercado
- MicroeconomiaOferta e Demanda
- MicroeconomiaTeoria da Firma/ProdutorTeoria da produção
Em uma estrutura de mercado, as empresas A e B produzem mercadorias homogêneas; e, nessa circunstância, P(Q) = 70 – Q é a representação da curva de demanda, na qual Q é a produção total das duas empresas. Cada empresa tem conhecimento do custo marginal da outra, e os custos totais dessas empresas são: CT
= 10 × Q + 2 e CT
= 30 × Q + 1.
A respeito dessa estrutura, julgue o item seguinte.
Se ambas as empresas decidirem, simultaneamente, as quantidades a serem produzidas, então as quantidades de equilíbrio, Q
= 10 × Q + 2 e CT
= 30 × Q + 1.A respeito dessa estrutura, julgue o item seguinte.
* e Q
*, associadas às empresas A e B serão, respectivamente, Q
* =
e Q
* =
.Provas
Questão presente nas seguintes provas
- MicroeconomiaEstruturas de Mercado
- MicroeconomiaOferta e Demanda
- MicroeconomiaTeoria da Firma/ProdutorTeoria da produção
Em uma estrutura de mercado, as empresas A e B produzem mercadorias homogêneas; e, nessa circunstância, P(Q) = 70 – Q é a representação da curva de demanda, na qual Q é a produção total das duas empresas. Cada empresa tem conhecimento do custo marginal da outra, e os custos totais dessas empresas são: CT
= 10 × Q + 2 e CT
= 30 × Q + 1.
A respeito dessa estrutura, julgue o item seguinte.
Se, nessa concorrência, os preços forem decididos simultaneamente, então a empresa B deverá abandonar o negócio; a empresa A dominará o mercado e estabelecerá o preço de monopólio P
= 10 × Q + 2 e CT
= 30 × Q + 1.A respeito dessa estrutura, julgue o item seguinte.
= 40.Provas
Questão presente nas seguintes provas
- História EconômicaHistória Econômica Brasileira
- História EconômicaEconomia Brasileira Contemporânea
- MacroeconomiaContas Nacionais
A respeito do comportamento da economia brasileira durante o primeiro e o segundo mandato do presidente Lula, julgue o item a seguir.
Devido a um cenário externo favorável durante o primeiro mandato do presidente Lula, houve ingresso de capitais e crescimento da balança comercial no Brasil com o incremento das reservas internacionais a partir de 2005.Provas
Questão presente nas seguintes provas

O gráfico acima, que representa as quantidades demandadas do bem A ? eixo horizontal? e do bem B ? eixo vertical ?, mostra alguns efeitos na restrição orçamentária de um consumidor, efeitos que resultam da variação no preço do bem A. Após a variação no preço do bem A, a restrição orçamentária do consumidor desloca-se para a esquerda (de RO para RO’); U é a curva de utilidade do consumidor — tangência RO no ponto X —; U’ é a outra curva de utilidade do consumidor ? tangência RO’ no ponto Y ?; a reta PT é paralela à RO’ e tangência U no ponto Z o equilíbrio do consumidor move-se do ponto X = (Q
, Q1) para o ponto Y = (Q
, Q2), no qual Q
> Q
> Q
> 0 e Q
> Q
> 0. Considerando essas informações e o gráfico, julgue o item subsequente.
– Q
corresponde ao efeito substituição. qcProvas
Questão presente nas seguintes provas
Acerca da teoria keynesiana, das políticas fiscal e monetária e do mercado de trabalho, julgue o item subsequente.
Base monetária indica o volume da oferta de dinheiro na economia e é composta pelo papel moeda em circulação, pelas reservas bancárias e pelo papel moeda em poder do público.Provas
Questão presente nas seguintes provas
Uma empresa do setor alimentício, com fábricas no Brasil, pretende adquirir outra empresa, uma concorrente brasileira. Caso a organização opte por esse investimento, espera-se, com a substituição das máquinas por outras de tecnologia mais eficiente, aumentar a produção das duas empresas combinadas. As características e qualidades dos insumos, exceto máquinas, e dos produtos são as mesmas para as duas empresas. O fluxo de caixa anual esperado para esse investimento, durante os cinco anos seguintes à aquisição, dependerá de fatores de risco, como a quantidade de produtos demandada por hipermercados e o preço cobrado por fornecedores.
Com base nessas informações, julgue o item que se segue
A realização do investimento pretendido pela empresa em tela resultará em rendimento crescente de escala.Com base nessas informações, julgue o item que se segue
Provas
Questão presente nas seguintes provas
Cadernos
Caderno Container