Foram encontradas 185 questões.

O transporte de um trecho de 10 m de tubulação é realizado utilizando-se apoios como os mostrados na Figura. Se a tubulação possui um peso de 140 N/m, os valores das forças reativas nos apoios, em N, serão de
Provas
Questão presente nas seguintes provas
- EletromagnetismoElétricaCircuitos Elétricos Especiais: Leis de Kirchhoff e Ponte de Wheatstone
- EletromagnetismoElétricaEletricidade
Todos os elementos do circuito abaixo são ideais.

A tensão V6, em Volts, sobre o resistor de 6 Ω é

A tensão V6, em Volts, sobre o resistor de 6 Ω é
Provas
Questão presente nas seguintes provas
- EletromagnetismoElétricaCircuitos Elétricos Especiais: Leis de Kirchhoff e Ponte de Wheatstone
- EletromagnetismoElétricaEletricidade
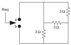
O circuito ilustrado na Figura abaixo apresenta três resistores, cada um deles com resistência de 3 Ω.

A resistência equivalente Req, em Ω, entre os pontos a e b mostrados no circuito é

A resistência equivalente Req, em Ω, entre os pontos a e b mostrados no circuito é
Provas
Questão presente nas seguintes provas
- EletromagnetismoElétricaEletricidade
- EletromagnetismoElétricaEletrodinâmica
- EletromagnetismoElétricaResistores e Potência Elétrica
Um motor apresenta potência no eixo igual a 5 CV, tensão de 220 V, frequência de 60 Hz, rendimento 0,80 e fator de potência 0,90. Quando estiverem sendo solicitados desse motor 50% de sua potência, a corrente (I) por ele solicitada da rede será tal que


Provas
Questão presente nas seguintes provas
Uma empresa apresenta um consumo de energia ativa igual a 53.200 kWh. Essa empresa funciona 14 h por dia durante 20 dias no mês. Na nota fiscal de fornecimento de energia, a concessionária descreve que o fator de potência apresentado tem valor igual a 0,74. A empresa deseja que o fator de potência com o mesmo consumo de energia ativa seja 0,93.
Assim, nessa condição, o consumo de energia reativa, em kVarh, será igual a

Assim, nessa condição, o consumo de energia reativa, em kVarh, será igual a

Provas
Questão presente nas seguintes provas
Para uma instalação de terminal de petróleo, deseja-se saber comparativamente quanto será a seção milimétrica de condutor de alumínio, em relação com a de condutor de cobre, tomada pela expressão
.
Considerando iguais a resistência do cobre e a do alumínio, assim como os comprimentos dos condutores, e que a resistividade do alumínio é 0,0280 Ω.m e a do cobre é 0,0155 Ω.m, qual é a razão entre a seção de condutor de alumínio e a do condutor de cobre,
?
. Considerando iguais a resistência do cobre e a do alumínio, assim como os comprimentos dos condutores, e que a resistividade do alumínio é 0,0280 Ω.m e a do cobre é 0,0155 Ω.m, qual é a razão entre a seção de condutor de alumínio e a do condutor de cobre,
?Provas
Questão presente nas seguintes provas
- EletromagnetismoElétricaCircuitos Elétricos Especiais: Leis de Kirchhoff e Ponte de Wheatstone
- EletromagnetismoElétricaEletricidade

Na planta de instalação elétrica do ambiente mostrado acima, os condutores elétricos que passam nos eletrodutos nos trechos W e Y, respectivamente, permitindo comandar corretamente a lâmpada instalada na caixa de passagem (1) através dos interruptores paralelos A e B, são:
Provas
Questão presente nas seguintes provas
- EletromagnetismoElétricaCircuitos Elétricos Especiais: Leis de Kirchhoff e Ponte de Wheatstone
- EletromagnetismoElétricaEletricidade
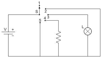
Considere o circuito abaixo onde a tensão nominal da lâmpada L é V.

A posição da chave S que ocasionará o acendimento da lâmpada L é

A posição da chave S que ocasionará o acendimento da lâmpada L é
Provas
Questão presente nas seguintes provas
Um sistema termodinâmico passa por uma transformação reversível MN, como mostra o diagrama pressão versus volume abaixo.

Se, durante essa transformação, o sistema recebeu 900 J de calor, a variação aproximada da sua energia interna foi de

Se, durante essa transformação, o sistema recebeu 900 J de calor, a variação aproximada da sua energia interna foi de
Provas
Questão presente nas seguintes provas
Uma mola elástica e linear apresenta uma deformação de 1,0 cm quando sujeita a uma força de 100 N. Estando esta mola submetida a uma força de 1,2 kN, sua deformação, em cm, será de
Provas
Questão presente nas seguintes provas
Cadernos
Caderno Container