Foram encontradas 1.731 questões.
Deseja-se estudar a relação entre a quantidade de chuvas (em mm) e a produção de soja em um determinado município. Para isso, utilizou-se a técnica de regressão linear simples, sendo sua matriz de análise de variância (ANOVA) apresentada abaixo.
|
FV |
gl | SQ | QM |
F |
|
regressão |
1 | 810 | 810 | 25,90 |
|
erro |
18 | 563 | 31,28 | |
|
total |
19 | 1.373 | 72,26 |
A partir da tabela acima, julgue o seguinte item, com base nos conceitos de inferência estatística.
Dadas as hipóteses H0: !$ \mu !$ = 8 e H1: !$ \mu \ne !$ 8, e sabendo-se que foi utilizada uma amostra de tamanho 25, que a variável em estudo X segue uma distribuição normal com média !$ \mu !$ e variância 4 e que, para !$ \alpha !$ = 0,05, !$ \Phi !$(-1,96) = 0,05, então o valor crítico para esse teste é aproximadamente 7,216.
Provas
Deseja-se estudar a relação entre a quantidade de chuvas (em mm) e a produção de soja em um determinado município. Para isso, utilizou-se a técnica de regressão linear simples, sendo sua matriz de análise de variância (ANOVA) apresentada abaixo.
|
FV |
gl | SQ | QM |
F |
|
regressão |
1 | 810 | 810 | 25,90 |
|
erro |
18 | 563 | 31,28 | |
|
total |
19 | 1.373 | 72,26 |
A partir da tabela acima, julgue o seguinte item, com base nos conceitos de inferência estatística.
O coeficiente de determinação é aproximadamente 0,59.
Provas
O departamento de recursos humanos de um banco, em parceria com profissionais especializados, desenvolveu um programa de atividades com o objetivo de reduzir o estresse dos funcionários do setor de cobranças do banco. Após a execução das atividades previstas no programa, que foram realizadas no meio do expediente da manhã e da tarde, foi perguntado aos funcionários de outro setor e à diretoria se houve alguma mudança no comportamento dos funcionários do departamento de cobranças (considerando que cada funcionário do setor de cobranças era avaliado individualmente). Os resultados dessa avaliação estão apresentados na tabela a seguir.
|
funcionários de |
diretoria |
||
|
sim |
não |
||
|
sim |
48 | 6 | |
|
não |
16 | 30 | |
Com base nessa situação e nas informações apresentadas na tabela acima, julgue o item subsequente.
O teste de McNemar é um teste paramétrico, uma vez que sua estatística segue uma distribuição qui-quadrado.
Provas
O departamento de recursos humanos de um banco, em parceria com profissionais especializados, desenvolveu um programa de atividades com o objetivo de reduzir o estresse dos funcionários do setor de cobranças do banco. Após a execução das atividades previstas no programa, que foram realizadas no meio do expediente da manhã e da tarde, foi perguntado aos funcionários de outro setor e à diretoria se houve alguma mudança no comportamento dos funcionários do departamento de cobranças (considerando que cada funcionário do setor de cobranças era avaliado individualmente). Os resultados dessa avaliação estão apresentados na tabela a seguir.
|
funcionários de |
diretoria |
||
|
sim |
não |
||
|
sim |
48 | 6 | |
|
não |
16 | 30 | |
Com base nessa situação e nas informações apresentadas na tabela acima, julgue o item subsequente.
A estatística para o teste de McNemar é superior a 4,00 com 1 gl.
Provas
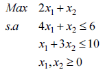
Acerca de pesquisa operacional, julgue o item a seguir.
Considere o seguinte problema de programação linear.

Nesse caso, o vetor de variáveis básicas é dado por !$ x^B=(x_3,x_4)=(6,10) !$.
Provas
Acerca de pesquisa operacional, julgue o item a seguir.
Sabendo-se que !$ f(x_1,x_2)=5x^2_1+4x^2_2+4x_1x_2+5x_1+12x_2 !$ é uma função estritamente convexa e que o gradiente de !$ f(x_1,x_2) !$ é igual a 0, então essa função tem um único ponto 1 2 f x x de mínimo global.
Provas
No ano de 1988, em uma comunidade carente, nasceram 550 crianças. Dessas crianças, 50 já nasceram mortas, 10 morreram antes de completar 6 meses, e 30 morreram com mais de 6 meses, mas antes de completar 1 ano de vida. Motivada por esses dados, uma entidade não governamental resolveu desenvolver uma pesquisa acompanhando as mães e seus bebês, nessa mesma comunidade, por 3 anos, a partir do ano de 1991. Os resultados dessa pesquisa estão apresentados no diagrama de Lexis abaixo.

A partir dessas informações e do diagrama, e com base nos conceitos de demografia, julgue o seguinte item.
Com base no diagrama de Lexis, e considerando que toda a geração de 1991 foi extinta em 1993, então o número de crianças nascidas vivas em 1991 foi igual a 320.
Provas
No ano de 1988, em uma comunidade carente, nasceram 550 crianças. Dessas crianças, 50 já nasceram mortas, 10 morreram antes de completar 6 meses, e 30 morreram com mais de 6 meses, mas antes de completar 1 ano de vida. Motivada por esses dados, uma entidade não governamental resolveu desenvolver uma pesquisa acompanhando as mães e seus bebês, nessa mesma comunidade, por 3 anos, a partir do ano de 1991. Os resultados dessa pesquisa estão apresentados no diagrama de Lexis abaixo.

A partir dessas informações e do diagrama, e com base nos conceitos de demografia, julgue o seguinte item.
A taxa de mortalidade infantil no ano de 1988 foi superior a 82.
Provas
|
produto |
custos variáveis (R$) | custos fixos (R$) |
preço de |
||
|
direto |
indireto |
total |
|||
| X | 700 | 375 | 1.075 | 0 | 2.000 |
| Y | 1.000 | 100 | 1.100 | 0 | 1.900 |
| Z | 750 | 90 | 840 | 0 | 1.700 |
Considerando a tabela acima, que apresenta informações dos custos de fabricação e preços de venda, em reais, dos produtos X, Y e Z, julgue o próximo item.
Sob o ponto de vista gerencial, o produto Y é o menos atrativo.
Provas
|
produto |
custos variáveis (R$) | custos fixos (R$) |
preço de |
||
|
direto |
indireto |
total |
|||
| X | 700 | 375 | 1.075 | 0 | 2.000 |
| Y | 1.000 | 100 | 1.100 | 0 | 1.900 |
| Z | 750 | 90 | 840 | 0 | 1.700 |
Considerando a tabela acima, que apresenta informações dos custos de fabricação e preços de venda, em reais, dos produtos X, Y e Z, julgue o próximo item.
Cada unidade de Z produzida e vendida provoca, de fato, um lucro de R$ 860,00.
Provas
Caderno Container