Magna Concursos

Foram encontradas 120 questões.

2571832 Ano: 2022
Disciplina: TI - Redes de Computadores
Banca: CESGRANRIO
Orgão: BASA

O endereço IPv4 de uma estação de trabalho é formado por uma parte que identifica a rede e por outra parte que identifica o host da rede.

Adotando-se a notação CIDR (Classless Inter-Domain Routing), o prefixo da rede do endereço IPv4 10.131.87.243/27 é o

 

Provas

Questão presente nas seguintes provas
2571831 Ano: 2022
Disciplina: TI - Redes de Computadores
Banca: CESGRANRIO
Orgão: BASA

O TCP (Transmission Control Protocol) utiliza um campo de 6 bits rotulado como BITS DE CÓDIGO no seu cabeçalho para determinar a finalidade e o conteúdo do segmento. Durante o estabelecimento de uma conexão, o primeiro segmento do handshake de três vias pode ser identificado porque o bit marcado no campo de BITS DE CÓDIGO é o

 

Provas

Questão presente nas seguintes provas
2571830 Ano: 2022
Disciplina: TI - Banco de Dados
Banca: CESGRANRIO
Orgão: BASA

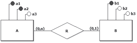
Um banco de dados relacional é composto pelas seguintes tabelas:

CREATE TABLE A (
a1 TEXT NOT NULL,
a2 TEXT NOT NULL,
a3 TEXT NOT NULL,
PRIMARY KEY (a1,a2));

CREATE TABLE B (
b1 TEXT NOT NULL,
b2 TEXT NOT NULL,
b3 TEXT NOT NULL,
PRIMARY KEY (b1));

CREATE TABLE R (
a1 TEXT NOT NULL,
a2 TEXT NOT NULL,
b1 TEXT NOT NULL,
PRIMARY KEY (a1,a2),
FOREIGN KEY (a1,a2)
REFERENCES A (a1,a2),
FOREIGN KEY (b1)
REFERENCES B (b1));

Com o intuito de simplificar, considere que todas as colunas de todas as tabelas são do tipo TEXT.

O modelo relacional acima foi obtido por meio da aplicação de regras de transformação sobre um modelo E-R, de modo a preservar a semântica deste.

Qual modelo E-R deu origem a essas tabelas?

 

Provas

Questão presente nas seguintes provas
2571829 Ano: 2022
Disciplina: TI - Desenvolvimento de Sistemas
Banca: CESGRANRIO
Orgão: BASA

Qual definição de interface Java NÃO produz erro de compilação?

 

Provas

Questão presente nas seguintes provas
2571828 Ano: 2022
Disciplina: TI - Desenvolvimento de Sistemas
Banca: CESGRANRIO
Orgão: BASA

Admita que as duas classes Java a seguir pertençam ao pacote default e ocupem arquivos separados.

public class Va {

private int a=0,b=2,c=4;

private static int sb;

public Va() {

a*=2;

b*=3;

c*=4;

}

public Va(int x) {

this();

sb+=x;

}

{

sb*=2;

a+=1;

}

static {

sb+=8;

}

public void print() {

System.out.print(a+b+c+sb);

}

}

public class Main {

public static void main(String[] args) {

new Va(1).print();

}

}

O que será exibido no console quando o método main for executado?

 

Provas

Questão presente nas seguintes provas
2571827 Ano: 2022
Disciplina: TI - Desenvolvimento de Sistemas
Banca: CESGRANRIO
Orgão: BASA

Uma função, chamada converte, tem por objetivo converter um número inteiro na base decimal (d), recebido como parâmetro, em um número inteiro na base binária (b), isto é, um número que seja formado apenas pelos algarismos 0 e 1, como nos exemplos abaixo.

Exemplos:

converte(7) = 111

converte(12) = 1100

converte(16) = 10000

Admita que o inteiro (d), recebido como parâmetro, é tal que d>=0 e d<=1024.

Qual função executa essa conversão corretamente?

 

Provas

Questão presente nas seguintes provas
2571826 Ano: 2022
Disciplina: TI - Desenvolvimento de Sistemas
Banca: CESGRANRIO
Orgão: BASA

Sejam dois arrays de inteiros, com zero ou mais elementos cada, ordenados ascendentemente. Deseja-se escrever uma função que receba esses dois arrays como parâmetros e insira os seus elementos em um terceiro array, também recebido como parâmetro, de modo que os elementos inseridos no terceiro array permaneçam ordenados ascendentemente, como no exemplo abaixo.

Exemplo:

int v1[]={10,20,30,40,50};

int v2[]={5,10,15,20};

O conteúdo do terceiro array, após a chamada da função de intercalação, será

{5,10,10,15,20,20,30,40,50}

Nesse contexto, considere a seguinte função main de um programa Java:

public class Main {

public static void main(String[] args) {

int v1[]={10,20,30,40,50};

int v2[]={5,10,15,20};

int v3[]=new int [v1.length + v2.length];

int p1=0,p2=0,p3=0;

intercala(v1,p1,v2,p2,v3,p3);

}

}

Qual função deve ser inserida na classe Main para que a intercalação do array v1 com o array v2 seja feita corretamente?

 

Provas

Questão presente nas seguintes provas
2571825 Ano: 2022
Disciplina: TI - Sistemas Operacionais
Banca: CESGRANRIO
Orgão: BASA

O administrador de um sistema operacional Linux mudou o atributo de dono (owner) do arquivo de um programa para o usuário root e o atributo de grupo desse arquivo para root. O comando a ser utilizado para que esse programa seja executado com permissão de root por qualquer usuário do sistema é o

 

Provas

Questão presente nas seguintes provas
2571824 Ano: 2022
Disciplina: TI - Banco de Dados
Banca: CESGRANRIO
Orgão: BASA

CREATE TABLE EMPREGADO (
    MATRICULA INTEGER NOT NULL,
    NOME TEXT NOT NULL,
    DATA_NASC TEXT NOT NULL,
    CERT_RESRV INTEGER UNIQUE NULL,
    PRIMARY KEY (MATRICULA));

CREATE TABLE DEPENDENTE (
    MAT_EMP INTEGER NOT NULL,
    NUM_SEQ INTEGER NOT NULL,
    NOME TEXT NOT NULL,
    DATA_NASC TEXT NOT NULL,
    PRIMARY KEY (MAT_EMP, NUM_SEQ)
    FOREIGN KEY (MAT_EMP)
        REFERENCES EMPREGADO (MATRICULA));

O estado corrente desse banco de dados é exibido nas figuras abaixo.

EMPREGADO

MATRICULA NOME DATA_NASC CERT_RESRV
11111 Paulo Menezes 24/05/1991 00:00 234811
22222 Ana Maria Carvalho 25/07/1983 00:00 null
33333 Alexandre Cardoso 11/08/1989 00:00 101678

DEPENDENTE

MAT_EMP NUM_SEQ NOME DATA_NAS
22222 1 Valéria 31/12/2017 00:00
22222 2 Pedro 09/06/2015 00:00
33333 1 Joana 22/03/2019 00:00
33333 2 Mariana 25/07/2020 00:00

Qual comando INSERT irá falhar, na tentativa de incluir uma nova linha em uma das tabelas desse banco de dados?

 

Provas

Questão presente nas seguintes provas
2571823 Ano: 2022
Disciplina: TI - Banco de Dados
Banca: CESGRANRIO
Orgão: BASA

Em um servidor MySQL, qual log é usado para registrar mensagens de diagnóstico, como erros, avisos e notificações, que ocorrem durante a inicialização e o desligamento do servidor?

 

Provas

Questão presente nas seguintes provas