Foram encontradas 70 questões.
Pilares-parede são aqueles que apresentam uma relação entre a maior e a menor dimensão da seção transversal igual ou superior a:
Provas
Questão presente nas seguintes provas
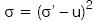
Em um solo completamente saturado, a relação entre pressão normal total
, neutra (u) e efetiva
é dada por:
, neutra (u) e efetiva
é dada por:Provas
Questão presente nas seguintes provas
O ensaio de peneiramento de um solo apresentou como resultados
O coeficiente de curvatura deste solo vale:
O coeficiente de curvatura deste solo vale:Provas
Questão presente nas seguintes provas
O ensaio de peneiramento de um solo apresentou como resultados
O coeficiente de uniformidade deste solo vale:
O coeficiente de uniformidade deste solo vale:Provas
Questão presente nas seguintes provas

Provas
Questão presente nas seguintes provas

Provas
Questão presente nas seguintes provas

Provas
Questão presente nas seguintes provas
A expressão que define o diagrama de momentos fletores de uma viga isostática submetida a um carregamento uniformemente distribuído de intensidade q é M(X) = qx2/2 

É correto afirmar que trata-se de uma viga:


É correto afirmar que trata-se de uma viga:
Provas
Questão presente nas seguintes provas
De acordo com a técnica PERT de gerenciamento de projetos, assinale a alternativa que apresente o tempo esperado de uma atividade, cujos prazos mínimo, normal e máximo são, em dias, iguais a 5, 6 e 10.
Provas
Questão presente nas seguintes provas
De acordo com a NBR 14653-5, o conjunto de ações de caráter programado em um bem, por meio de monitoramento contínuo de seus componentes e com o auxílio de inspeção não destrutiva, é denominado:
Provas
Questão presente nas seguintes provas
Cadernos
Caderno Container