Foram encontradas 543 questões.
Disciplina: Legislação Específica das Agências Reguladoras
Banca: CESGRANRIO
Orgão: ANP
As áreas de desenvolvimento são polígonos traçados de acordo com a legislação brasileira e devem abranger toda a projeção da acumulação mais uma margem de segurança nunca maior que 1 (um) km. Se o concessionário comprovar que a acumulação ultrapassa este polígono, ele deverá:
Provas
Disciplina: Legislação Específica das Agências Reguladoras
Banca: CESGRANRIO
Orgão: ANP
Após a Declaração de Comercialidade de uma descoberta, o concessionário deverá entregar à ANP o Plano de Desenvolvimento do campo de petróleo. A respeito desse Plano, é correto afirmar que:
Provas
Disciplina: Legislação Específica das Agências Reguladoras
Banca: CESGRANRIO
Orgão: ANP
A empresa concessionária X enviou à ANP, com 22 dias de antecedência da data prevista para a perfuração de seu primeiro poço, a notificação de perfuração do mesmo. Quinze dias depois, a empresa X enviou à ANP a Comunicação de Início de Perfuração do Poço, informando que a perfuração do mesmo se dera há 24 horas e solicitando o nome, a numeração cronológica e o cadastro do poço.
Com respeito aos erros cometidos pela empresa concessionária X, indique a afirmação correta.
Provas
Disciplina: Legislação Específica das Agências Reguladoras
Banca: CESGRANRIO
Orgão: ANP
A empresa concessionária X enviou à ANP, com 22 dias de antecedência da data prevista para a perfuração de seu primeiro poço, a notificação de perfuração do mesmo. Quinze dias depois, a empresa X enviou à ANP a Comunicação de Início de Perfuração do Poço, informando que a perfuração do mesmo se dera há 24 horas e solicitando o nome, a numeração cronológica e o cadastro do poço.
Após analisar e observar as diversas falhas ocorridas no processo, você deverá recomendar que:
I - a perfuração pare até se resolverem todas as irregularidades do processo;
II - o poço receba seu número de cadastro de acordo com o disposto no artigo 7º do Regulamento sobre os procedimentos a serem adotados para a codificação de poços;
III - a empresa seja esclarecida a respeito das irregularidades cometidas e do seu possível enquadramento na Lei nº 9.874, de 26 de outubro de 1999.
Está(ão) correta(s) a(s) recomendação(ões):
Provas
Disciplina: Legislação Específica das Agências Reguladoras
Banca: CESGRANRIO
Orgão: ANP
Na devolução parcial ou total de áreas de exploração, o concessionário deverá encaminhar à ANP:
I - sumário das atividades físicas desenvolvidas no bloco;
II - laudo de auditoria ambiental emitido por auditor independente;
III - cronograma das atividades remanescentes a serem desenvolvidas na desativação das instalações e na recuperação da área;
IV - inventário de todas as benfeitorias existentes no bloco.
Deve(m) ser aprovado(s) pela ANP o(s) item(ns):
Provas
Disciplina: Legislação Específica das Agências Reguladoras
Banca: CESGRANRIO
Orgão: ANP
O nome oficial de cada poço obedece a um estrito regulamento sobre os procedimentos para codificação de poços. Segundo este regulamento, entre os cinco elementos, ou partes, que identificam os poços, NÃO se inclui:
Provas
Disciplina: Legislação Específica das Agências Reguladoras
Banca: CESGRANRIO
Orgão: ANP
Um concessionário, após uma descoberta, entregou à ANP um Plano de Avaliação. Após 50 dias de entrega do Plano, o concessionário entregou um relatório de Avaliação e uma Declaração de Comercialidade da descoberta, denominando um novo campo de petróleo. Todos estes documentos foram entregues para você que, na qualidade de Técnico de Regulação, tem a função de emitir parecer sobre este processo. Baseado nos fatos acima, você deverá:
Provas
Disciplina: Legislação Específica das Agências Reguladoras
Banca: CESGRANRIO
Orgão: ANP
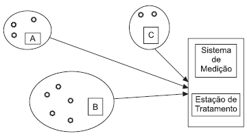
Na qualidade de técnico da ANP você foi encarregado de emitir parecer sobre a proposição de um concessionário com respeito a uma instalação de medição de petróleo e gás natural para três campos de produção. O esquema da instalação, resumidamente, é o seguinte:

Observações:
I - O Sistema de Medição está de acordo com o Regulamento Técnico de Medição de Petróleo e Gás.
II - A Estação de Tratamento consegue exportar óleo com menos de 1% de água e sedimentos.
III - As produções dos campos não suportam economicamente a instalação de Sistemas de Medição individuais.
Após exame das condições, você deverá recomendar a:
Provas
Disciplina: Legislação Específica das Agências Reguladoras
Banca: CESGRANRIO
Orgão: ANP
As regras de medição do petróleo e gás natural estabelecidas pelo Regulamento Técnico de Medição e Gás Natural aprovado pela Portaria Conjunta nº 1, de 19/06/2000, devem ser utilizadas nos seguintes tipos de instalação:
Provas
Disciplina: Legislação Específica das Agências Reguladoras
Banca: CESGRANRIO
Orgão: ANP
Sobre contratos de concessão para exploração e produção de petróleo e gás natural, indique a afirmação correta.
Provas
Caderno Container