Magna Concursos

Foram encontradas 765 questões.

546732 Ano: 2018
Disciplina: Engenharia Civil
Banca: FCC
Orgão: ALESE

Considere a viga biapoiada com comprimento de 8 m, submetida a uma carga uniformemente distribuída de 2 kN/m e a duas cargas concentradas de 4 kN, simétricas, distantes 2 m de cada apoio, conforme figura a seguir:

enunciado 546732-1

A viga deve ser dimensionada para o momento fletor máximo, cujo valor é, em kNm,

 

Provas

Questão presente nas seguintes provas
546731 Ano: 2018
Disciplina: Engenharia Civil
Banca: FCC
Orgão: ALESE

Considere a treliça de aço montada com sete barras de 1 m de comprimento, que compõe a estrutura da cobertura de um galpão, conforme figura a seguir:

enunciado 546731-1

Considerando as cargas concentradas de 4 kN nos nós B e C, a barra AB está solicitada a uma carga, em kN, de

 

Provas

Questão presente nas seguintes provas
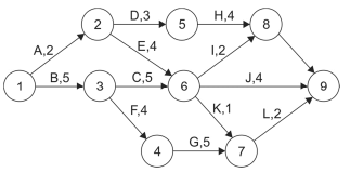
546730 Ano: 2018
Disciplina: Engenharia Civil
Banca: FCC
Orgão: ALESE

O planejamento de uma obra seguiu o cronograma PERT-CPM, conforme figura a seguir, onde as atividades são representadas por letras, seguidas de sua duração em dias.

enunciado 546730-1

Para que a obra seja entregue no tempo previsto, uma das atividades que não pode atrasar é aquela representada pela letra

 

Provas

Questão presente nas seguintes provas
546729 Ano: 2018
Disciplina: Engenharia Civil
Banca: FCC
Orgão: ALESE
Nas estruturas de concreto armado, os deslocamentos-limites são valores práticos utilizados para verificação em serviço do estado-limite de deformações excessivas da estrutura. O limite de deslocamento visível em elementos estruturais para aceitabilidade sensorial e visual, em relação ao seu comprimento L, é
 

Provas

Questão presente nas seguintes provas
546728 Ano: 2018
Disciplina: Engenharia Civil
Banca: FCC
Orgão: ALESE
Um engenheiro foi solicitado para fazer o orçamento de reforma das instalações elétricas de uma antiga residência. A sala principal é retangular com dimensões 7 m por 5 m e possui apenas 3 tomadas de uso geral. Para que essa sala tenha apenas a carga mínima de tomadas de uso geral, estão faltando
 

Provas

Questão presente nas seguintes provas
546727 Ano: 2018
Disciplina: Engenharia Civil
Banca: FCC
Orgão: ALESE
Para o dimensionamento usual das calhas de uma residência com área de projeção horizontal de 80 m2, considerados os incrementos devido à inclinação da cobertura e às paredes que interceptam água de chuva, a vazão de projeto de águas pluviais, em litros por minuto, é
 

Provas

Questão presente nas seguintes provas
546726 Ano: 2018
Disciplina: Engenharia Civil
Banca: FCC
Orgão: ALESE
Durante a inspeção dos extintores de incêndio de um edifício, verificou-se a inexistência da data do último ensaio hidrostático e a presença de corrosão nos cilindros. Essas ocorrências definem o nível de manutenção
 

Provas

Questão presente nas seguintes provas
546725 Ano: 2018
Disciplina: Engenharia Civil
Banca: FCC
Orgão: ALESE
Um edifício residencial com 18 andares e com 6 apartamentos por andar foi projetado para o consumo de água previsto para a ocupação de 4 pessoas por apartamento com consumo diário de 200 litros por pessoa. O sistema elevatório de água deve recalcar água por apenas 6 horas de funcionamento por dia. Como a altura manométrica é de 75 m, a potência necessária para uma bomba com 80% de rendimento é, em CV,
 

Provas

Questão presente nas seguintes provas
546724 Ano: 2018
Disciplina: Engenharia Civil
Banca: FCC
Orgão: ALESE
Ao elaborar o orçamento de uma composição de custos unitários de um determinado conjunto de serviços, um engenheiro calculou o custo direto de R$ 6.000,00. Sobre estes serviços, o engenheiro acrescentou R$ 600,00 de custos indiretos, R$ 50,00 de administração central, R$ 70,00 de imprevistos e contingências. Além disso, considerou 12% de lucro e 8% de impostos sobre o faturamento. O preço de venda para esse conjunto de serviços é, em reais,
 

Provas

Questão presente nas seguintes provas
546723 Ano: 2018
Disciplina: Engenharia Civil
Banca: FCC
Orgão: ALESE
Uma das variáveis necessárias para o dimensionamento de estruturas de concreto armado é o valor da massa específica do concreto. Se esse valor não for conhecido, para efeito de cálculo, pode-se adotar para o concreto armado o valor de, em kg/m3,
 

Provas

Questão presente nas seguintes provas