Foram encontradas 249 questões.
Para 2 circuitos terminais de iluminação e força, projetados para um mesmo ambiente residencial fechado, pode-se afirmar que:
Provas
Em instalações de BT, a cor do encapamento do condutor terra deve ser:
Provas
Uma carga trifásica ligada em triângulo apresenta, em cada fase, uma impedância igual a j9Ω. O valor da impedância de cada fase da ligação estrela equivalente é:
Provas
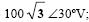
Um circuito trifásico equilibrado com ligação em estrela apresenta seqüência de fase "abc". Se a tensão fase-neutro da fase "a" é igual a Va = 100∠0º V, então a tensão de linha Vab é:
Provas
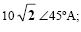
Um circuito trifásico desequilibrado está ligado em triângulo. Se as correntes nas linhas de alimentação "a" e "b" valem, respectivamente, 10∠0º A e 10∠90º A, então a corrente na linha de alimentação "c" vale:
Provas
As impedâncias de (4+j
)Ω e 10∠60ºΩ estão ligadas em série. A impedância equivalente é:
Provas
Um indutor de indutância igual a 0,5H é percorrido por uma corrente contínua de 10A. A energia armazenada sob forma de campo magnético é:
Provas
Quatro resistências de valores 2Ω, 4Ω, 6Ω e 8Ω estão conectadas em paralelo. O valor equivalente ao conjunto é:
Provas
Um condutor de seção reta 2,5 mm² e comprimento 500m apresenta uma resistência de 3,56 Ω. A resistividade desse condutor é igual a:
Provas
Em um arruamento foi colocado meio fio de granito. Para determinar a quantidade de metros lineares de meio fio colocado, o topógrafo passou as coordenadas globais fictícias dos pontos 1 e 2, conforme a tabela abaixo:

Provas
Caderno Container