Magna Concursos

Foram encontradas 175 questões.

3824352 Ano: 2025
Disciplina: Engenharia Ambiental e Sanitária
Banca: FGV
Orgão: AGESAN-RS
Provas:
A queima de combustíveis fósseis realizada nas caldeiras e fornos industriais geram altas concentrações de materiais particulados (MP), óxidos de nitrogênio (NOx) e óxidos de enxofre (SOx) na atmosfera. A indústria, para atender a legislação ambiental e evitar que esses poluentes contaminem a população e o meio ambiente, utilizam equipamentos de controle e diversos processos de abatimentos.

Em relação ao controle desses poluentes na indústria, é correto afirmar que
 

Provas

Questão presente nas seguintes provas
3824351 Ano: 2025
Disciplina: Engenharia Ambiental e Sanitária
Banca: FGV
Orgão: AGESAN-RS
Provas:
Um efluente industrial é, em geral, resultante da mistura de diversas correntes geradas em diferentes unidades do processo produtivo. Sua vazão e características podem apresentar significativa variação ao longo do tempo, em função de mudanças de operação dos processos, de produto processado e das atividades de limpeza, além de outros parâmetros.

Em relação ao tratamento de efluentes industriais, avalie as afirmativas a seguir.

I. O tratamento secundário tem como objetivo principal a redução de sólidos grosseiros em suspensão e as seguintes técnicas são utilizadas: gradeamento, peneiramento, desarenação, neutralização e equalização.
II. A neutralização é uma etapa necessária para o ajuste de pH no tratamento secundário ou no descarte, e a equalização consiste em um tanque provido de aeração e agitação para se evitar odores (aerobiose) e deposição de sólidos.
III. Desarenação é uma etapa importante para proteger as bombas e tubulações, evita entupimento e obstáculos em dutos e válvulas, a formação de depósitos de materiais inertes nos decantadores e nos tanques de aeração.
IV. A gradeamento objetiva a remoção de sólidos bastante grosseiros, como materiais plásticos e de papelões constituintes de embalagens, pedaços de madeira e metal e as grades devem permitir o escoamento dos efluentes sem produzir grandes perdas de carga.

É correto o que se afirma em
 

Provas

Questão presente nas seguintes provas
3824350 Ano: 2025
Disciplina: Engenharia Elétrica
Banca: FGV
Orgão: AGESAN-RS
Provas:

Supõe-se um circuito simples com voltagem constante de 60 V, resistência de 12 \( Ω \) e indutância 4 H. Considerando no instante t=0, a corrente começa com i(0) = 0 e sabendo-se que uma das leis de Kirchhoff diz que a soma da queda de tensão é igual à voltagem fornecida E(t) e é definida pela equação:

 

\( l\dfrac{di}{dt}+Ri(t)=E(t) \)

 

Assinale a opção que contém a função da corrente desse circuito.

 

Provas

Questão presente nas seguintes provas
3824349 Ano: 2025
Disciplina: Direito Ambiental
Banca: FGV
Orgão: AGESAN-RS
Provas:
A Política Nacional de Resíduos Sólidos é fundamental para o Brasil por promover a gestão integrada e o gerenciamento sustentável dos resíduos sólidos, visando proteger a saúde pública e a qualidade ambiental, além de estimular a economia circular.

Entre as atividades definidas nas formas de destinação ou disposição final de resíduos sólidos ou rejeitos em todo território nacional, é correto afirmar que
 

Provas

Questão presente nas seguintes provas
3824348 Ano: 2025
Disciplina: Química
Banca: FGV
Orgão: AGESAN-RS
Provas:
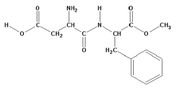
O aspartame é um adoçante artificial amplamente utilizado em alimentos e bebidas como alternativa ao açúcar, tornando-o uma opção para produtos dietéticos e de menor valor calórico.

Enunciado 4760701-1

Assinale a alternativa que contém as funções orgânicas presentes na molécula de aspartame.
 

Provas

Questão presente nas seguintes provas
3824347 Ano: 2025
Disciplina: Direito Administrativo
Banca: FGV
Orgão: AGESAN-RS

Sobre o controle das contratações previstos na Lei nº14.133/21, analise as afirmativas a seguir.

I. As contratações públicas deverão submeter-se a práticas contínuas e permanentes de gestão de riscos e de controle preventivo de responsabilidade da alta administração do órgão ou entidade.

II. Qualquer licitante, contratado ou pessoa física ou jurídica, poderá representar aos órgãos de controle interno ou ao Tribunal de Contas competente contra irregularidades na aplicação da Lei de Licitações e Contratos.

III. A segunda linha de defesa é integrada pelas unidades de assessoramento jurídico e de controle interno do próprio órgão ou entidade.

Está correto o que se afirma em

 

Provas

Questão presente nas seguintes provas
3824346 Ano: 2025
Disciplina: Direito Administrativo
Banca: FGV
Orgão: AGESAN-RS

A Comissão de Licitação julgou a proposta apresentada pela empresa Alfa como inexequível.

Considerando as disposições da Lei 14.133/21 sobre os recursos administrativos, é correto afirmar que a empresa Alfa

 

Provas

Questão presente nas seguintes provas
3824345 Ano: 2025
Disciplina: Administração Pública
Banca: FGV
Orgão: AGESAN-RS

O LicitaCon consiste no sistema informatizado desenvolvido pelo TCE-RS para controle e monitoramento das licitações e contratos administrativos firmados pelos órgãos, poderes e entidades das esferas públicas municipal e estadual do Estado Rio Grande do Sul.

Para as entidades que possuem sistemas informatizados, típico caso dos municípios de maior porte e significativa parcela dos jurisdicionados, será disponibilizado módulo específico para o recebimento das remessas deles extraídas, denominado

 

Provas

Questão presente nas seguintes provas
3824344 Ano: 2025
Disciplina: Direito Administrativo
Banca: FGV
Orgão: AGESAN-RS

Sobre os critérios de julgamento das propostas previstos na Lei nº 14.133, analise as afirmativas a seguir.

I. O critério menor preço não representa uma métrica isolada de seleção, ou seja, a escolha do fornecedor pelo ente público deverá compatibilizar o preço com a faixa de qualidade esperada e determinada no edital da licitação.

II. Na hipótese de licitação em que for adotado o critério de julgamento por maior desconto, o preço estimado ou o máximo aceitável não poderá constar do edital da licitação.

III. O julgamento por técnica e preço considerará a maior pontuação obtida a partir da ponderação, segundo fatores objetivos previstos no edital, das notas atribuídas aos aspectos de técnica e de preço da proposta.

Está correto o que se afirma em

 

Provas

Questão presente nas seguintes provas
3824343 Ano: 2025
Disciplina: Direito Administrativo
Banca: FGV
Orgão: AGESAN-RS

Ao elaborar o termo de referência (TR) de uma licitação, a equipe responsável registrou como preços orçados valores expressivamente superiores àqueles efetivamente praticados no mercado. Com base no orçamento apresentado no TR, a licitação foi realizada e seu resultado homologado em favor da empresa Beta Ltda.

Considerando unicamente os fatos narrados e as disposições da Lei nº 14.133/21, é correto afirmar que o procedimento realizado resultou em danos ao erário por

 

Provas

Questão presente nas seguintes provas