Foram encontradas 75 questões.
Disciplina: TI - Redes de Computadores
Banca: CESPE / CEBRASPE
Orgão: Adepará
- Equipamentos de RedeHub
- Modelo OSIIntrodução ao Modelo OSI
- Modelo OSIModelo OSI: Camada Física
- Topologias de RedeTopologia: Estrela
O modelo de referência para interconexão de sistemas abertos da ISO (International Organization for Standardization) preconiza a utilização de camadas ou níveis, de forma que cada camada preste serviços à camada imediatamente superior e receba serviços da camada imediatamente inferior. Em cada camada, são definidos protocolos e unidades de dados específicos. A respeito desse modelo e de possibilidades de sua implementação, julgue os itens que se seguem.
Um hub funciona como um concentrador de fios, facilitando o controle da fiação da rede e o acréscimo ou remoção de estações sem necessidade de interromper as operações da rede.
Provas
Disciplina: TI - Redes de Computadores
Banca: CESPE / CEBRASPE
Orgão: Adepará
O modelo de referência para interconexão de sistemas abertos da ISO (International Organization for Standardization) preconiza a utilização de camadas ou níveis, de forma que cada camada preste serviços à camada imediatamente superior e receba serviços da camada imediatamente inferior. Em cada camada, são definidos protocolos e unidades de dados específicos. A respeito desse modelo e de possibilidades de sua implementação, julgue os itens que se seguem.
O método de acesso CSMA/CD (carrier sense multiple access collision detection), empregado nas redes Ethernet, assegura o atendimento a requisitos de tempo real em sistemas de controle distribuído.
Provas
Disciplina: TI - Redes de Computadores
Banca: CESPE / CEBRASPE
Orgão: Adepará
O modelo de referência para interconexão de sistemas abertos da ISO (International Organization for Standardization) preconiza a utilização de camadas ou níveis, de forma que cada camada preste serviços à camada imediatamente superior e receba serviços da camada imediatamente inferior. Em cada camada, são definidos protocolos e unidades de dados específicos. A respeito desse modelo e de possibilidades de sua implementação, julgue os itens que se seguem.
Em uma rede local com topologia do tipo barra, os nós (estações) de rede são conectados sucessivamente um ao outro, até chegar ao último nó, que é conectado ao primeiro.
Provas
Disciplina: TI - Redes de Computadores
Banca: CESPE / CEBRASPE
Orgão: Adepará
- Equipamentos de RedeBridge
- Modelo OSIIntrodução ao Modelo OSI
- Modelo OSIModelo OSI: Camada Física
- Modelo OSIModelo OSI: Camada de Enlace
O modelo de referência para interconexão de sistemas abertos da ISO (International Organization for Standardization) preconiza a utilização de camadas ou níveis, de forma que cada camada preste serviços à camada imediatamente superior e receba serviços da camada imediatamente inferior. Em cada camada, são definidos protocolos e unidades de dados específicos. A respeito desse modelo e de possibilidades de sua implementação, julgue os itens que se seguem.
dor é um dispositivo que atua na camada física, enquanto uma bridge pode interligar redes distintas na camada de enlace.
Provas
Disciplina: TI - Redes de Computadores
Banca: CESPE / CEBRASPE
Orgão: Adepará
O modelo de referência para interconexão de sistemas abertos da ISO (International Organization for Standardization) preconiza a utilização de camadas ou níveis, de forma que cada camada preste serviços à camada imediatamente superior e receba serviços da camada imediatamente inferior. Em cada camada, são definidos protocolos e unidades de dados específicos. A respeito desse modelo e de possibilidades de sua implementação, julgue os itens que se seguem.
Na camada de rede, são utilizados protocolos de encaminhamento e, entre os equipamentos que trabalham realizando as funções inerentes a essa camada, incluem-se as bridges (pontes) e os roteadores.
Provas
Disciplina: TI - Redes de Computadores
Banca: CESPE / CEBRASPE
Orgão: Adepará
- Modelo OSIIntrodução ao Modelo OSI
- Modelo OSIModelo OSI: Camada de Rede
- Transmissão de DadosComutação de Células, Circuitos e Pacotes
- Transmissão de DadosX.25 e Frame Relay
O modelo de referência para interconexão de sistemas abertos da ISO (International Organization for Standardization) preconiza a utilização de camadas ou níveis, de forma que cada camada preste serviços à camada imediatamente superior e receba serviços da camada imediatamente inferior. Em cada camada, são definidos protocolos e unidades de dados específicos. A respeito desse modelo e de possibilidades de sua implementação, julgue os itens que se seguem.
O protocolo X.25 do CCITT, dedicado a redes comutadas por pacotes, tem seu emprego voltado para as três camadas inferiores do modelo acima mencionado.
Provas
De acordo com o fragmento de modelo Entidade-Relacionamento apresentado abaixo, um “cliente” faz de zero a vários pedidos; um “pedido” pertence a um e somente um “cliente”; um “pedido” possui de um a vários “pedido_item”; um “pedido_item” pertence a vários “pedido”; um “pedido_item” contém um e somente um “produto”; um “produto” poderá estar contido em zero ou em vários “pedido_item”.

Provas
Disciplina: TI - Desenvolvimento de Sistemas
Banca: CESPE / CEBRASPE
Orgão: Adepará
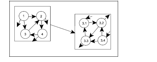
O fragmento de DFD mostrado abaixo está equilibrado.

Provas
Disciplina: TI - Desenvolvimento de Sistemas
Banca: CESPE / CEBRASPE
Orgão: Adepará

Considerando a situação descrita, julgue os itens a seguir, relativos aos modelos de desenvolvimento de software aplicáveis ao sistema descrito.
Um dos erros comuns, durante uma sessão de coleta de requisitos para um sistema, é a discussão que focaliza mais os problemas de implementação do que os próprios problemas dos requisitos. Isso acontece muitas vezes quando o cliente tem algum conhecimento na área de análise e desenvolvimento de programas e sugere a forma como o sistema deve ser feito.
Provas
Disciplina: TI - Desenvolvimento de Sistemas
Banca: CESPE / CEBRASPE
Orgão: Adepará

Considerando a situação descrita, julgue os itens a seguir, relativos aos modelos de desenvolvimento de software aplicáveis ao sistema descrito.
A técnica de coleta de requisitos denominada JAD (joint application development) fundamenta-se na coleta de dados feita de forma paulatina, em reuniões praticamente particulares, em que o entrevistador interpela, um a um, cada possível usuário do sistema, visando à maior precisão possível das informações colhidas.
Provas
Caderno Container