Foram encontradas 36.142 questões.
Um professor demonstrou aos seus alunos o experimento para identificar a natureza das ligações de algumas substâncias. Submeteu a um teste de condução de corrente elétrica alguns materiais no estado sólido e após dissolvê-los em água destilada, como segue.
Frasco I: sal de cozinha.
Frasco II: açúcar.
Frasco III: solução aquosa obtida com o material do frasco I.
Frasco IV: solução aquosa obtida com o material do frasco II.
Frasco V: água destilada com a qual preparou as soluções III e IV.

(Disponível em: https://brainly.com.br)
A condução de corrente elétrica capaz de acender a lâmpada é observada somente no frasco
Provas
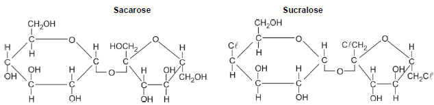
Atenção: Para responder à questão considere o esquema a seguir que mostra as estruturas da sacarose e da sucralose.

As funções orgânicas comuns à sacarose e à sucralose são
Provas
Atenção: Para responder à questão considere o esquema a seguir que mostra as estruturas da sacarose e da sucralose.

Comparando essas estruturas, na obtenção da sucralose a partir da sacarose observa-se que ocorreu reação de
Provas
O disseleneto de tungstênio, WSe2, é classificado como um dicalcogeneto de metal de transição, uma classe de materiais formada por átomos de um metal de transição (no caso o tungstênio) e um calcogênio (selênio). Nesse composto, a carga do íon tungstênio é:
Provas
Um professor utilizou o infográfico a seguir para trabalhar a Química dos combustíveis no contexto CTS (Ciência, Tecnologia e Sociedade).

(Adaptado de: Revista Pesquisa Fapesp, dez. 2021)
Essa abordagem mostrou que a projeção para 2030 da matriz energética brasileira terá a diminuição do uso dos derivados de petróleo e o maior crescimento em gigawatts para a fonte renovável, que é
Provas
Além de um pigmento mineral (cinábrio – mineral contendo mercúrio), sangue humano e clara de ovo de aves compunham uma tinta que recobria a máscara de ouro de um líder da cultura Sicán, encontrada há três décadas em uma tumba no Peru. A clara de ovo servia de aglutinante para a tinta por conter basicamente a albumina, que é
Provas
Uma anã branca é o que sobra de uma estrela como o Sol após explodir e expulsar suas camadas externas. A atmosfera dessas estrelas contém apenas hidrogênio e hélio. O núcleo remanescente, no entanto, é tão denso que atrai material de planetas e astros próximos. Na atmosfera das anãs brancas já estudadas, os pesquisadores identificaram cálcio, silício e magnésio.
(Adaptado de: Revista Pesquisa Fapesp, dez. 2021)
Os elementos encontrados nas anãs brancas que pertencem ao mesmo grupo da Tabela Periódica são
Provas
As baleias são os maiores seres vivos do planeta e importantes recicladores de nutrientes dos oceanos. Elas consomem uma quantidade colossal de alimento e suas fezes fertilizam as águas próximas à superfície. Por exemplo, uma baleia azul come cerca de 16 toneladas de peixes, lulas e pequenos crustáceos por dia. Hoje, apenas no oceano Austral, as baleias reciclam por ano, 1 200 toneladas de ferro, nutriente essencial para a reprodução do plâncton, organismos microscópicos que estão na base da cadeia alimentar marinha e contribuem para captar gás carbônico da atmosfera.
(Adaptado de: Revista Pesquisa Fapesp, dez. 2021)
A reação global de captura de gás carbônico pelo plâncton é representada corretamente por:
Provas
As baleias são os maiores seres vivos do planeta e importantes recicladores de nutrientes dos oceanos. Elas consomem uma quantidade colossal de alimento e suas fezes fertilizam as águas próximas à superfície. Por exemplo, uma baleia azul come cerca de 16 toneladas de peixes, lulas e pequenos crustáceos por dia. Hoje, apenas no oceano Austral, as baleias reciclam por ano, 1 200 toneladas de ferro, nutriente essencial para a reprodução do plâncton, organismos microscópicos que estão na base da cadeia alimentar marinha e contribuem para captar gás carbônico da atmosfera.
(Adaptado de: Revista Pesquisa Fapesp, dez. 2021)
Considerando que o ferro reciclado pelas baleias no oceano Austral anualmente esteja na forma de íons Fe3+ a massa de íons cloreto necessária para neutralizar toda sua carga elétrica é, em toneladas, de, aproximadamente:
Dados:
Massas molares (g/mol)
C!$ \ell !$ = 35,5;
Fe = 55,8
Provas
No Brasil a mineração mercúrio-dependente do ouro em escala artesanal é bastante comum, o que gera a contaminação do ar, solo e água com esse perigoso metal pesado.
A respeito do ciclo desse metal e de suas interações com o meio ambiente, analise as afirmativas a seguir.
I. Nesses processos de mineração a rocha contendo o ouro é moída, sendo então misturada com Hg, o qual é usado para extrair ouro do minério como um amálgama estável. O amálgama é então aquecido para evaporar o mercúrio e isolar o ouro.
II. O Hg na forma gasosa poderá interagir com os constituintes atmosféricos, o que inclui a radiação, produzindo o mercúrio ionizado (Hg2+), que poderá contaminar o solo e os oceanos quando for removido da atmosfera pela chuva. Essa forma de mercúrio poderá interagir com microrganismos como bactérias, sendo convertida em metilmercúrio, a forma de Hg que é acumulada nos seres vivos.
III. O metilmercúrio é lipossolúvel, ou seja, pode ser dissolvido em gorduras e dessa maneira consegue fixar-se nos tecidos dos seres vivos e acumular. Quando essa acumulação ocorre dentro de um organismo é chamada de biomagnificação, já quando ocorre entre os diferentes níveis tróficos da cadeia alimentar é chamada de bioacumulação.
Está correto o que se afirma em
Provas
Caderno Container