Foram encontradas 36.143 questões.
A combustão incompleta do etanol tem como produto o acetaldeído (um poluente potencialmente carcinogênico), conforme a reação não balanceada.
![]()
Considerando as entalpias de ligação apresentadas na tabela, conclui-se que a entalpia estimada da combustão incompleta do etanol é:

Provas
"Os discos giratórios da TV eletromecânica logo seriam superados pela tecnologia da TV eletrônica analógica, que utilizava o tubo de raios catódicos inventado em 1897 pelo físico alemão Karl Ferdinand Braun (1850-1918). O tubo de raios catódicos, com o formato de um decantador de vinho deitado, convertia o sinal elétrico em imagem.”
(100 anos de TV: das válvulas à smart TV. Revista Pesquisa Fapesp)
Experiências com o tubo de raios catódicos, na evolução do modelo para o átomo, proporcionaram
Provas
Considere o esquema que mostra o funcionamento de uma célula a combustível a etanol.

(Elétricos movidos a etanol: Revista Pesquisa Fapesp)
Nessa célula a combustível a etanol,
Provas
Provas
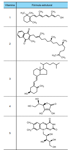
No quadro são apresentadas as fórmulas estruturais de vitaminas presentes em alimentos que são consumidos regularmente e também na forma de cápsulas de suplementos vitamínicos.

Dentre as vitaminas do quadro, quando consumidas em excesso, as vitaminas que são eliminadas na urina são as de números
Provas
A capacidade nominal média de uma bateria tipo moeda CR2032 é de 220 miliampères durante uma hora, o que corresponde a carga Q = 792 C.
Considerando a constante de Faraday 9,65x104 C.mol–1 , a carga gerada por uma bateria desse tipo durante uma hora é capaz de depositar sobre um eletrodo mergulhado em uma solução contendo íons Ni2+(aq), a massa de níquel metálico, em mg, de, aproximadamente,
Provas
A figura representa os perfis de energia de três reações distintas, 1, 2 e 3, que ocorrem em uma única etapa.

(BROWN, T. et all. Química: a ciência central. 2005)
A reação mais lenta é
Provas
O esquema a seguir representa o ciclo do nitrogênio e refere-se à questão.

(Ciclo do nitrogênio: impactos na fertilidade do solo (agroadvance.com.br). Adaptado)
Provas
O plasma sanguíneo humano é tamponado em pH = 7,4, sendo que os tampões sanguíneos são formados por pares conjugados ácido-base específicos.
Considere as informações sobre as constantes de ionização de algumas espécies químicas apresentadas na tabela a seguir.

(CRC Handbook of Chemistry and Physics, 95th edition, 2014-2015)
A mistura, em quantidades molares iguais do par ácido- -base conjugado, que atingiria o valor de pH mais próximo ao do plasma sanguíneo humano é:
Provas
A figura apresenta diagramas de energia para reações de combustão de dois combustíveis gasosos.

(BROWN, T. et all. Química: a ciência central. 2005. Adaptado)
Considere a combustão de 160 g de cada um dos combustíveis. O calor liberado pelo gás hidrogênio em relação a mesma massa de gás metano é, aproximadamente,
Provas
Caderno Container