Foram encontradas 3.545 questões.
Sobre a Força de Coriolis aplicada ao referencial terrestre, é INCORRETO afirmar que:
Provas
O comandante de um determinado navio, fundeado próximo ao Aeroporto Santos Dumont, no Rio de Janeiro, solicitou a um meteorologista que verificasse se haveria condições meteorológicas próprias para operações de pouso e decolagem com helicóptero na manhã do dia 26 de abril. As condições impeditivas da operação eram:
(i) Visibilidade horizontal < 3000 metros;
(ii) Vento > 55 km/h; e
(iii) Base da nuvem mais baixa < 1000 metros.
O meteorologista analisou a mensagem TAF emitida pelo aeródromo para avaliar a previsão meteorológica para o dia. Após a verificação, o parecer dado ao comando foi "negativo" em função das condições prognosticadas. Assinale a opção que apresenta o complemento da mensagem TAF que motivou a informação fornecida.
TAF SBRJ 2608302 2612/2624 ...
Provas
Um meteorologista embarcado necessita elaborar um relatório sobre a situação do gelo, para auxiliar o planejamento da realização de uma operação de recolhimento de acampamento em uma ilha no Mar de Weddell (latitude aproximada de 75ºS). Para tanto, ele precisará de imagens com o melhor detalhamento horizontal possível e que sejam derivadas de um sensor que capta a radiação de uma faixa específica do espectro eletromagnético que é menos influenciada pela presença de nuvens. Assim, quais seriam a órbita do satélite e o canal de medição do sensor mais adequados para a avaliação?
Provas
Observe a figura abaixo.

A figura acima representa uma observação meteorológica realizada por um navio e foi inserida em uma carta para análise sinótica. Quais fenômenos de tempo passado e de tempo presente foram reportados, respectivamente?
Provas
A presença de núcleos de condensação de nuvem (NCN) é fundamental no processo de crescimento e ativação de gotículas, consequentemente, influenciando as propriedades das nuvens e a precipitação. Assim, sobre os NCN, assinale a opção INCORRETA.
Provas
Na América do Sul, o Jato de Baixos Níveis (JBN) corresponde a um componente do sistema de monção da América do Sul, que transporta umidade da bacia Amazônica para a bacia Paraná-Prata. Além de causar impactos na agricultura, agropecuária e geração de energia hidroelétrica, o JBN pode provocar desastres naturais associados a altos índices pluviométricos. Assim, sobre o JBN na América do Sul, é correto afirmar que:
Provas
Os aparelhos de ar-condicionado, que resfriam os servidores de alto desempenho de um centro de previsão do tempo, estão apresentando problemas que provocaram o aumento da temperatura dentro do compartimento. A fim de evitar danos ao hardware, é necessário o tempestivo desligamento destes tão logo a temperatura atinja um determinado valor. Utilize a Lei do deslocamento de Wien para calcular a temperatura máxima que o conjunto dos servidores (considerados como um corpo negro) pode atingir, sabendo que o comprimento de onda para o qual ele emitiria radiação máxima caso alcançasse essa temperatura é 9,56 !$ \mu !$m, e assinale a opção correta.
Provas
Tornados e trombas d'água são fenômenos que podem provocar danos significativos ao longo da sua trajetória. A respeito desses fenômenos, assinale a opção correta.
Provas
Um pedaço de gelo de origem terrestre, estimado entre 3 e 4 metros acima do nível do mar, foi avistado com grande velocidade em relação ao deslocamento dos demais tipos de gelo que se encontravam ao redor. Devido ao perigo à navegação, o navio precisou informar ao serviço meteorológico marinho a existência desse pedaço de gelo flutuante. De acordo com os dados, como foi denominado o pedaço de gelo?
Provas
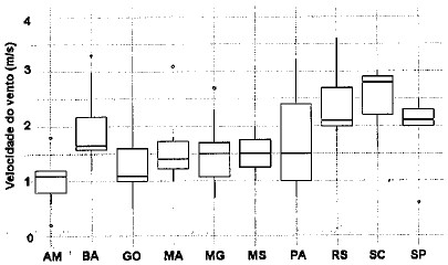
Em um determinado estudo climatológico da velocidade do vento, foram selecionados alguns estados de modo a avaliar os padrões de comportamento da variável. A figura a seguir mostra a representação clássica de gráficos de caixas para cada um dos 10 estados selecionados, com dados provenientes das médias mensais climatológicas, tomadas no período de 1991 a 2020, das estações do Instituto Nacional de Meteorologia (INMET).

Com base nas, informações apresentadas, assinale a opção INCORRETA.
Provas
Caderno Container