Foram encontradas 3.545 questões.
Uma determinada base militar deseja instalar uma estação meteorológica. Contudo, há alguns monumentos em seu interior que podem influenciar na leitura das variáveis. Sabendo que a altura do pluviômetro é de 1,5 metro e que um monumento próximo possui 4,0 metros de altura, qual é distância mínima à qual o pluviômetro deve ser posicionado do objeto, conforme preconizado pela Organização Meteorológica Mundial?
Provas
Em relação à circulação termoalina, que é uma das componentes da circulação geral dos oceanos, é correto afirmar que:
Provas
Correlacione os sistemas meteorológicos ás suas características e assinale a opção correta.
SISTEMA METEOROLÓGICO
I- Onda de Leste
II- Bloqueio
III- ZCAS
CARACTERISTICAS
( ) É uma zona de convergência de umidade na baixa troposfera favorecida pelo Jato de Baixos Níveis (JBN) em 850 hPa.
( ) Fenômeno meteorológico típico das latitudes tropicais que podem evoluir para furacões.
( ) No Hemisfério Sul, caracteriza-se por um padrão chamado ômega invertido.
( ) Em 500 hPa, está associada a presença de um persistente cavado a leste dos Andes e região de movimento ascendente com orientação noroestesudeste que favorecem a divergência em níveis superiores.
( ) Célula de alta pressão estacionária com estrutura barotrópica que permanece em uma região onde os ventos de oeste são normalmente observados.
( ) Move-se de leste para oeste com movimento ascendente e precipitação na retaguarda do cavado associado ao sistema.
Provas
Considere as seguintes informações referentes à tábua de marés prevista para a região da Ilha Fiscal (Rio de Janeiro/RJ), disponibilizadas pela Diretoria de Hidrografia e Navegação (DHN).

Com base nos dados apresentados e sabendo que nos dias 6 e 14 a lua estará minguante e nova, respectivamente, assinale a opção correta.
Provas
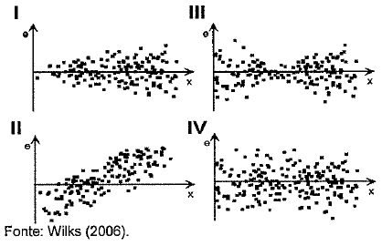
Examine os gráficos abaixo.

Os gráficos acima apresentam situações idealizadas da distribuição de erros residuais (e) obtidos em uma regressão linear, apresentados no eixo das ordenadas, para uma variável preditora (x), no eixo das abscissas. Com base nessas informações, assinale a opção que apresenta o correto diagnóstico dos resíduos apresentados.
Provas
O Navio de Pesquisa Hidroceanográfico "Vital de Oliveira" foi designado para realizar reparo de uma boia meteoceanográfica localizada na porção sul da METAREA V. Ao realizar a observação de rotina, o navio reportou vento forte na escala Beaufort e mar moderado na escala Douglas. Assinale a opção que completa a mensagem SHIP abaixo e corresponde às condições citadas.
BBXX PWVO 31124 ...
Provas
Existem expressões aproximadas para as relações en~e os campos de velocidade, pressão e temperatura que sao úteis para a análise de sistemas meteorológicos, a exemplo do vento térmico. A respeito dessa relação, é correto afirmar que:
Provas
Os sistemas extratropicais de escala sinótica são os principais fenômenos de interesse para a previsão do tempo, sendo suas velocidades horizontais aproximadamente geostróficas, o que levou os cIentIstas a classificarem esses movimentos como quase-geostróficos. Sobre a teoria quase-geostrófica, assinale a opção correta.
Provas
A respeito dos mecanismos de transferência de energia associados à radiação solar e terrestre, é correto afirmar que:
Provas
Examine o gráfico abaixo.

O gráfico apresentado acima refere-se ás normais climatológicas de umidade relativa do ar (UR) disponibilizadas pelo Instituto Nacional de Meteorologia (INMET) para a estação de Manaus/AM (82831). Com base nesses dados, assinale a opção correta.
Provas
Caderno Container