Foram encontradas 6.381 questões.
3001301
Ano: 2023
Disciplina: Engenharia de Telecomunicações
Banca: CESGRANRIO
Orgão: Transpetro
Disciplina: Engenharia de Telecomunicações
Banca: CESGRANRIO
Orgão: Transpetro
Provas:
O sinal x1 (t) = cos(2π f0t) é multiplicado pelo sinal x2 (t) cuja transformada de Fourier é X2 (f) = (1+j2π f)-1 , onde j = √ -1.
O sinal resultante dessa multiplicação, expresso no domínio da frequência, é
Provas
Questão presente nas seguintes provas
3001300
Ano: 2023
Disciplina: Engenharia de Telecomunicações
Banca: CESGRANRIO
Orgão: Transpetro
Disciplina: Engenharia de Telecomunicações
Banca: CESGRANRIO
Orgão: Transpetro
Provas:
Em um enlace de descida de um sistema de comunicação
via satélite, na localidade da estação terrena, tem-se que:
EIRP = 50 dBW; fator (G/T) = 5 dB/K e perda por propagação no espaço livre Lel = 204 dB.
Considerando-se que a banda alocada para transmissão é 10 MHz, e desprezando-se as demais perdas de potência, o valor da razão portadora-ruído no receptor, em dB, é:
Dado Constante de Boltzmann = - 228,6 dB W / K / Hz
Considerando-se que a banda alocada para transmissão é 10 MHz, e desprezando-se as demais perdas de potência, o valor da razão portadora-ruído no receptor, em dB, é:
Dado Constante de Boltzmann = - 228,6 dB W / K / Hz
Provas
Questão presente nas seguintes provas
3001299
Ano: 2023
Disciplina: Engenharia de Telecomunicações
Banca: CESGRANRIO
Orgão: Transpetro
Disciplina: Engenharia de Telecomunicações
Banca: CESGRANRIO
Orgão: Transpetro
Provas:
Em sistemas de comunicação via satélite, uma das principais vantagens de se implementarem enlaces com utilização da banda de frequências Ka é a
Provas
Questão presente nas seguintes provas
3001298
Ano: 2023
Disciplina: Engenharia de Telecomunicações
Banca: CESGRANRIO
Orgão: Transpetro
Disciplina: Engenharia de Telecomunicações
Banca: CESGRANRIO
Orgão: Transpetro
Provas:
Uma das vantagens de sistemas de comunicações baseados em satélites na órbita GEO (geoestacionária), quando comparados a sistemas em órbita LEO (Low Earth
Orbit), é a(o)
Provas
Questão presente nas seguintes provas
3001297
Ano: 2023
Disciplina: Engenharia de Telecomunicações
Banca: CESGRANRIO
Orgão: Transpetro
Disciplina: Engenharia de Telecomunicações
Banca: CESGRANRIO
Orgão: Transpetro
Provas:
A Figura abaixo mostra as operações realizadas por um transmissor de informação digital, até a geração do sinal x(t), que
é transmitido através do canal. A codificação de fonte produz uma sequência binária com taxa Rb = 8 Mbps, e o codificador
de canal tem taxa de codificação de ½, produzindo uma sequência na saída de taxa Rc
em que a vazão dos bits de informação da fonte é mantida constante (portanto Rc
> Rb
).
O modulador utilizado é o 16-QAM, que produz o sinal x(t), com largura de banda B = 1,5 Rs , onde Rs é a taxa de símbolos (taxa de sinalização) do modulador.
O valor de B, em MHz, é
O modulador utilizado é o 16-QAM, que produz o sinal x(t), com largura de banda B = 1,5 Rs , onde Rs é a taxa de símbolos (taxa de sinalização) do modulador.
O valor de B, em MHz, é
Provas
Questão presente nas seguintes provas
3001296
Ano: 2023
Disciplina: Engenharia de Telecomunicações
Banca: CESGRANRIO
Orgão: Transpetro
Disciplina: Engenharia de Telecomunicações
Banca: CESGRANRIO
Orgão: Transpetro
Provas:
Um sinal discreto no tempo é formado pela sequência
x(0) = 1 , x(1) = 2 , x(2) = -1, sendo x(n) = 0 para
n ∉ {0 , 1 , 2}. Esse sinal x(n) é aplicado como entrada
a um sistema linear e invariante no tempo, também
discreto, cuja resposta ao impulso é dada por h(-1) = 1 ,
h(0) = 2 , h(1) = 2, e h(n) = 0 quando n ∉ {-1 , 0 , 1}.
O sinal produzido na saída do sistema é a sequência y(n), na qual o valor de y(0) é
O sinal produzido na saída do sistema é a sequência y(n), na qual o valor de y(0) é
Provas
Questão presente nas seguintes provas
3001295
Ano: 2023
Disciplina: Engenharia de Telecomunicações
Banca: CESGRANRIO
Orgão: Transpetro
Disciplina: Engenharia de Telecomunicações
Banca: CESGRANRIO
Orgão: Transpetro
Provas:
Em uma transmissão digital, é possível empregar apenas modulação M QAM, M ∈ {16, 64, 256, 512, 1024}, que apresenta
desempenho em termos de TEB (taxa de erro de bit) versus razão Eb / N0
(Eb
– energia por bit; N0
– amplitude da densidade espectral de potência do ruído), mostrado na Figura abaixo.
Em uma implementação inicial do sistema, a modulação utilizada é a 16 QAM, e a razão Eb / N0 conseguida no enlace é de 13,2 dB. Em uma segunda fase do projeto, deseja-se dobrar a eficiência espectral da transmissão pelo uso de uma outra modulação, mantendo-se a mesma TEB.
Qual deve ser, aproximadamente, o valor da razão Eb / N0 , em dB, para atender a essa condição?
Em uma implementação inicial do sistema, a modulação utilizada é a 16 QAM, e a razão Eb / N0 conseguida no enlace é de 13,2 dB. Em uma segunda fase do projeto, deseja-se dobrar a eficiência espectral da transmissão pelo uso de uma outra modulação, mantendo-se a mesma TEB.
Qual deve ser, aproximadamente, o valor da razão Eb / N0 , em dB, para atender a essa condição?
Provas
Questão presente nas seguintes provas
3001294
Ano: 2023
Disciplina: Engenharia de Telecomunicações
Banca: CESGRANRIO
Orgão: Transpetro
Disciplina: Engenharia de Telecomunicações
Banca: CESGRANRIO
Orgão: Transpetro
Provas:
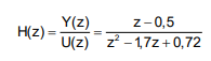
Considere um sistema discreto relaxado (condições iniciais nulas), modelado pela seguinte função de transferência:
Sabe-se que a taxa de amostragem T desse sistema é de 1 s.
Se a entrada desse sistema for submetida a um impulso discreto no instante t = 0, qual deverá ser a saída y em t = 4 s?
Sabe-se que a taxa de amostragem T desse sistema é de 1 s.
Se a entrada desse sistema for submetida a um impulso discreto no instante t = 0, qual deverá ser a saída y em t = 4 s?
Provas
Questão presente nas seguintes provas
3001293
Ano: 2023
Disciplina: Engenharia de Telecomunicações
Banca: CESGRANRIO
Orgão: Transpetro
Disciplina: Engenharia de Telecomunicações
Banca: CESGRANRIO
Orgão: Transpetro
Provas:
Na Figura a seguir, encontra-se o gráfico de módulo do
diagrama de resposta em frequência de uma função de
transferência racional, correspondente a um circuito.
O grau relativo de uma função de transferência racional é a diferença entre os graus dos polinômios do denominador e do numerador.
Analisando-se o gráfico e considerando-se a faixa de frequência apresentada, o grau relativo dessa função de transferência é de
O grau relativo de uma função de transferência racional é a diferença entre os graus dos polinômios do denominador e do numerador.
Analisando-se o gráfico e considerando-se a faixa de frequência apresentada, o grau relativo dessa função de transferência é de
Provas
Questão presente nas seguintes provas
3001292
Ano: 2023
Disciplina: Engenharia de Telecomunicações
Banca: CESGRANRIO
Orgão: Transpetro
Disciplina: Engenharia de Telecomunicações
Banca: CESGRANRIO
Orgão: Transpetro
Provas:
A técnica de transmissão OFDM (Orthogonal Frequency
Division Multiplexing), utilizada no padrão de redes
sem-fio IEEE 802.11 e IEEE 802.16, Sistemas de TV
Digital (DVB-T) e rádio digital, foi primeiramente implementada na seguinte geração de sistemas móveis celulares:
Provas
Questão presente nas seguintes provas
Cadernos
Caderno Container