Foram encontradas 8.143 questões.
Provas
Provas
- EletrotécnicaCircuitos Elétricos em Eletricidade
- EletrotécnicaCircuitos de Corrente Contínua e de Corrente Alternada
Dado o circuito, determine a corrente de Norton e a Impedância de Norton, vista nos pontos “a” e “b”, respectivamente.

Provas

A figura acima apresenta a parte de controle do circuito de acionamento de uma máquina trifásica comandada por intermédio do contator C1. As chaves S0 e S1 são do tipo sem retenção. A ação de acionar uma chave significa apertá-la e, em seguida, deixá-la retornar à sua posição inicial. O relé K1 é do tipo com retardo na ligação, programado para 15 minutos, enquanto o relé K2 é do tipo com retardo no desligamento, programado para 25 minutos. Com o sistema em condições normais de funcionamento, considere que o operador tenha acionado a chave S0 às 7h e, então, a chave S1 às 8h. O gráfico que melhor representa o funcionamento da máquina comandada por C1 é
Provas
Provas
Provas
Provas
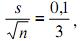
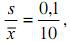
Nove contêineres de um grande carregamento foram inspecionados quanto à quantidade, em litros, de ácido sulfúrico, e apresentaram média x igual a 10 L e desvio padrão s igual a 0,1 L. Em um relatório passado, um histograma foi apresentado sugerindo que a quantidade de ácido sulfúrico seguia distribuição normal. O intervalo de 95% de confiança para a quantidade média de ácido sulfúrico é [9,9233; 10,0767], com valores dados em litros.
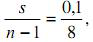
Com relação ao texto em referência, é correto afirmar que o erro padrão utilizado para o cálculo do desvio padrão é dado por
Provas

Considere os símbolos mostrados acima. Com relação às informações apresentadas, assinale a opção que indica corretamente e na sequência devida a associação nome e símbolo.
Provas
. Na linha 2, ele obteve um desvio-padrão de
, com base em 12 medidas. Utilizando um software estatístico, ele obteve um intervalo de 98% de confiança para
igual a [ 1,851; 7,549].Com base no texto, é correto concluir, quanto à variabilidade das linhas de produção, que
Provas
Caderno Container