Foram encontradas 195 questões.
Uma amostra de areia natural foi ensaiada para determinação do inchamento, de acordo com a norma NBR 6467 (ABNT, 2006) e apresentou os coeficientes de inchamento apresentados na tabela e no gráfico a seguir apresentados.

Analisando os dados do ensaio, qual é o teor de umidade crítica e o coeficiente de inchamento médio da areia ensaiada?
Provas
Uma amostra de cimento Portland tipo CPVARI, foi ensaiada à compressão. A carga na ruptura do corpo de prova foi de 45 kN. Sabendo que a área do topo do corpo de prova cilíndrico é de 20 cm2 e lembrando que 1 MPa equivale a, aproximadamente, 10 kgf/cm2 e que 1 kN equivale a aproximadamente 100 kgf, é possível afirmar, de acordo com a NBR 16697 (ABNT, 2018), que:
Provas
O ensaio de tração por compressão diametral foi desenvolvido no Brasil pelo engenheiro Lobo Carneiro, sendo conhecido por superestimar a resistência à tração do concreto, quando comparado à tração direta. Assinale a alternativa correta que indica o percentual que esse valor é superestimado.
Provas
De acordo com a distribuição granulométrica determinada, qual é a dimensão máxima característica do agregado e seu módulo de finura?

Provas

Provas
Provas
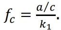
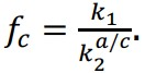
Em concretos convencionais, de baixa e média resistência, o fator água/cimento é um dos principais fatores que influenciam a resistência do concreto, sendo expresso pela Lei de Abrams. Assinale a expressão que indica a Lei de Abrams:
Provas
Provas
Provas
Diante do shell script abaixo:

Pergunta: qual o retorno que deverá ser apresentado em um terminal Linux, após a execução do script.
Provas
Caderno Container