Foram encontradas 356 questões.
No sistema de coordenadas cartesianas !$ xOy !$ a seguir, em que a unidade de medida é o quilômetro, foram inseridos marcos históricos da cidade de São Paulo como pontos cartesianos. O Parque da Independência é o lugar do famoso evento conhecido como O Grito do Ipiranga, e o Pateo do Collegio é o local onde D. Pedro I ficava hospedado quando de suas visitas a São Paulo.
Com referência a esse sistema, a tabela mostra as coordenadas de alguns dos marcos históricos.

Considerando essas informações, julgue o item seguinte.
A partir do Pateo do Collegio, percorre-se no máximo 7,5 km até o local onde foi declarada a independência do Brasil, às margens do rio Ipiranga.
Provas
No sistema de coordenadas cartesianas !$ xOy !$ a seguir, em que a unidade de medida é o quilômetro, foram inseridos marcos históricos da cidade de São Paulo como pontos cartesianos. O Parque da Independência é o lugar do famoso evento conhecido como O Grito do Ipiranga, e o Pateo do Collegio é o local onde D. Pedro I ficava hospedado quando de suas visitas a São Paulo.
Com referência a esse sistema, a tabela mostra as coordenadas de alguns dos marcos históricos.

Considerando essas informações, julgue o item seguinte.
A distância do Mosteiro São Bento à Praça da Sé é inferior a 3,2 km.
Provas
Declare Independência: como a matemática está mudando vidas no Brasil?
O projeto Declare Independência é um movimento para discutir um melhor uso da matemática no nosso país. O Brasil é um país desigual e todos sabemos. Entretanto, em algumas áreas do conhecimento, como na matemática, essa desigualdade precisa ser mais reconhecida e enfrentada.
Cidadãos deixam de conquistar melhores empregos e cuidar melhor de suas economias, por não terem domínio de conceitos básicos de matemática, como operações, funções e interpretação de gráficos.
Internet: <//declareindependencia.com.br/> (com adaptações).
Considerando o texto como unicamente como motivador e considerando a função !$ f(x) \, = \, ax^2 \, + \, x \, + \, b, !$ com !$ a, \, b \, \in \, \mathbb{R} !$ e !$ a, \, b \, > \, 1, !$ julgue o item e assinale a opção correta no item, que é do tipo C.
Se !$ g(x) \, = \, -x \, + \, 2b, !$ a função !$ (g \, º \, f) (x) \, = \, g(f(x)) !$ apresenta duas raízes reais distintas.
Provas
Declare Independência: como a matemática está mudando vidas no Brasil?
O projeto Declare Independência é um movimento para discutir um melhor uso da matemática no nosso país. O Brasil é um país desigual e todos sabemos. Entretanto, em algumas áreas do conhecimento, como na matemática, essa desigualdade precisa ser mais reconhecida e enfrentada.
Cidadãos deixam de conquistar melhores empregos e cuidar melhor de suas economias, por não terem domínio de conceitos básicos de matemática, como operações, funções e interpretação de gráficos.
Internet: <//declareindependencia.com.br/> (com adaptações).
Considerando o texto como unicamente como motivador e considerando a função !$ f(x) \, = \, ax^2 \, + \, x \, + \, b, !$ com !$ a, \, b \, \in \, \mathbb{R} !$ e !$ a, \, b \, > \, 1, !$ julgue o item e assinale a opção correta no item, que é do tipo C.
Se !$ x !$ e !$ y !$ são raízes de !$ f(x), !$ então !$ \dfrac {xy} {x+y} \, > \, 1. !$
Provas
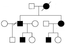
Em 2021, comemorou-se o centenário da descoberta e da produção da insulina. No Brasil, a produção de insulina recombinante iniciou-se mediante a colaboração entre a empresa Biobrás e pesquisadores da Universidade de Brasília.
Considerando o texto precedente como motivador, julgue o item subsecutivo.
Considerando-se que mutações no gene da insulina podem causar diabetes neonatal e que a seguir há um heredograma que representa uma família afetada por diabetes bem como a segregação da doença nessa família, é correto afirmar que o mecanismo de herança da diabetes neonatal nessa família é autossômico recessivo.

Provas
Em 2021, comemorou-se o centenário da descoberta e da produção da insulina. No Brasil, a produção de insulina recombinante iniciou-se mediante a colaboração entre a empresa Biobrás e pesquisadores da Universidade de Brasília.
Considerando o texto precedente como motivador, julgue o item subsecutivo.
A redução e o aumento do açúcar no sangue são regulados, respectivamente, pelo glucagon e pela insulina.
Provas
Em 2021, comemorou-se o centenário da descoberta e da produção da insulina. No Brasil, a produção de insulina recombinante iniciou-se mediante a colaboração entre a empresa Biobrás e pesquisadores da Universidade de Brasília.
Considerando o texto precedente como motivador, julgue o item subsecutivo.
Na produção de insulina com uso da tecnologia de DNA recombinante, ocorre a inserção do gene que codifica a insulina em plasmídeos, os quais, posteriormente, são introduzidos em bactérias.
Provas
| M1 | M2 | M3 | |
| S1 | 5 | 10 | 0 |
| S2 | 10 | 0 | 2 |
| S3 | 0 | 5 | 10 |
Na tabela precedente, estão as quantidades, em mg, de cada uma das substâncias S1, S2, S3 presentes em cada caixa dos medicamentos M1, M2, M3. Os valores da tabela podem ser representados pela matriz A, e os custos individuais de cada substância podem ser representados pelos elementos da matriz c = (c1, c2, c3)t em que c1, c2 e c3 representam os custos de cada miligrama de S1, S2 e S3, respectivamente, e t representa a variável tempo.
Considerando as informações precedentes, julgue o item que se seguem.
O custo !$ x !$ das substâncias em cada medicamento pode ser obtido por meio da resolução do sistema !$ Ax \, = \, c. !$
Provas
| M1 | M2 | M3 | |
| S1 | 5 | 10 | 0 |
| S2 | 10 | 0 | 2 |
| S3 | 0 | 5 | 10 |
Na tabela precedente, estão as quantidades, em mg, de cada uma das substâncias S1, S2, S3 presentes em cada caixa dos medicamentos M1, M2, M3. Os valores da tabela podem ser representados pela matriz A, e os custos individuais de cada substância podem ser representados pelos elementos da matriz c = (c1, c2, c3)t em que c1, c2 e c3 representam os custos de cada miligrama de S1, S2 e S3, respectivamente, e t representa a variável tempo.
Considerando as informações precedentes, julgue o item que se seguem.
É válida a relação !$ A \, \times \, A^t \, = \, 5^2 B, !$ com !$ B \, = \, \begin {pmatrix} 5 \,\,\, 2 \,\,\, 2 \\ 2 \,\,\, 5 \,\,\, 2 \\ 2 \,\,\, 2 \,\,\, 5 \end {pmatrix}. !$
Provas
| M1 | M2 | M3 | |
| S1 | 5 | 10 | 0 |
| S2 | 10 | 0 | 2 |
| S3 | 0 | 5 | 10 |
Na tabela precedente, estão as quantidades, em mg, de cada uma das substâncias S1, S2, S3 presentes em cada caixa dos medicamentos M1, M2, M3. Os valores da tabela podem ser representados pela matriz A, e os custos individuais de cada substância podem ser representados pelos elementos da matriz c = (c1, c2, c3)t em que c1, c2 e c3 representam os custos de cada miligrama de S1, S2 e S3, respectivamente, e t representa a variável tempo.
Considerando as informações precedentes, julgue o item que se seguem.
!$ A \, - \, A^t \, = \, 0, !$ em que !$ 0 !$ representa a matriz nula.
Provas
Caderno Container