Foram encontradas 348 questões.
Pigmentos e corantes são os responsáveis pela coloração de uma tinta. A cor depende dos comprimentos de onda da radiação absorvida pelo composto, o que, por sua vez, depende da diferença de energia entre as bandas de valência e de condução. Os pigmentos CdS e CdSe, por exemplo, são conhecidos como amarelo e vermelho de cádmio, respectivamente: o CdS absorve a luz azul e, por isso, apresenta coloração amarela (a cor complementar do azul); o CdSe absorve todas as cores, com exceção da vermelha, e, por esse motivo, apresenta a cor vermelha.
Nas plantas, ocorre um fenômeno de características semelhantes, já que os pigmentos fotossintéticos são capazes de absorver a luz em alguns comprimentos de onda e refleti-la em outros.
A partir das informações apresentadas e considerando que o produto de solubilidade do CdS seja igual a 1 × 10 26 e que as soluções envolvidas apresentem comportamento ideal, julgue os itens a seguir.
Quando o CdS se dissolve em água, formam-se íons Cd+ (aq) e S (aq).
Provas
Pigmentos e corantes são os responsáveis pela coloração de uma tinta. A cor depende dos comprimentos de onda da radiação absorvida pelo composto, o que, por sua vez, depende da diferença de energia entre as bandas de valência e de condução. Os pigmentos CdS e CdSe, por exemplo, são conhecidos como amarelo e vermelho de cádmio, respectivamente: o CdS absorve a luz azul e, por isso, apresenta coloração amarela (a cor complementar do azul); o CdSe absorve todas as cores, com exceção da vermelha, e, por esse motivo, apresenta a cor vermelha.
Nas plantas, ocorre um fenômeno de características semelhantes, já que os pigmentos fotossintéticos são capazes de absorver a luz em alguns comprimentos de onda e refleti-la em outros.
A partir das informações apresentadas e considerando que o produto de solubilidade do CdS seja igual a 1 × 10 26 e que as soluções envolvidas apresentem comportamento ideal, julgue os itens a seguir.
A solubilidade do CdS é superior a 1,0 × 10 10 g/L, em água pura.
Provas
Pigmentos e corantes são os responsáveis pela coloração de uma tinta. A cor depende dos comprimentos de onda da radiação absorvida pelo composto, o que, por sua vez, depende da diferença de energia entre as bandas de valência e de condução. Os pigmentos CdS e CdSe, por exemplo, são conhecidos como amarelo e vermelho de cádmio, respectivamente: o CdS absorve a luz azul e, por isso, apresenta coloração amarela (a cor complementar do azul); o CdSe absorve todas as cores, com exceção da vermelha, e, por esse motivo, apresenta a cor vermelha.
Nas plantas, ocorre um fenômeno de características semelhantes, já que os pigmentos fotossintéticos são capazes de absorver a luz em alguns comprimentos de onda e refleti-la em outros.
A partir das informações apresentadas e considerando que o produto de solubilidade do CdS seja igual a 1 × 10 26 e que as soluções envolvidas apresentem comportamento ideal, julgue os itens a seguir.
Infere-se da tabela periódica, dadas as posições dos elementos, que a distância entre os átomos de Cd e S no CdS é maior que a distância entre os átomos de Cd e Se no CdSe.
Provas

O quadro apresentado, que ilustra a cena em que um tiranossauro levanta um automóvel, foi pintado com tinta acrílica. A palavra acrílica se refere ao tipo de resina presente na tinta: dos poliacrilatos. A resina é o componente que forma o filme sólido aderido à superfície após a aplicação da tinta. Após essa aplicação, ocorre a polimerização do monômero — o qual está inicialmente na forma líquida —, e, assim, origina-se o filme sólido. Um exemplo de monômero das tintas acrílicas é o metacrilato de metila, que pode ser obtido a partir da reação de esterificação do ácido metacrílico com metanol, conforme mostrado a seguir.

Tabela I. Entalpias padrão de formação (ΔHf) a 25 ºC e pontos de fusão (PF) e de ebulição (PE)
|
composto |
*ΔHf (kJ/mol) | **PF (ºC) |
**PE (ºC) |
|
ácido metacrílico |
418 | 15 | 163 |
|
metanol |
245 | 97 | 65 |
|
metacrilato de metila |
386 | 48 | 100 |
|
água |
286 | 0 | 100 |
* para o estado físico mais estável da substância a 25 ºC e 1,0 bar
** a 1,0 bar
Tabela II. Velocidades da reação de polimerização do metacrilato de
metila medidas para diferentes concentrações do monômero e do
iniciador
|
concentração |
velocidade |
|
|
do monômero |
do iniciador | |
| x | y | z |
| 4x | y | 4z |
| 4x | 4y | 8z |
Considerando as informações fornecidas e os dados apresentados nas tabelas I e II, julgue os itens de 11 a 14 e faça o que se pede no item 15, que é do tipo C.
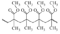
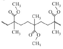
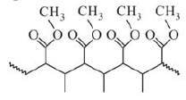
Considerando que a cura da resina de metacrilato de metila consista em uma reação de polimerização por adição, assinale a opção que representa corretamente uma pequena parte da estrutura do polímero formado.
Provas

O quadro apresentado, que ilustra a cena em que um tiranossauro levanta um automóvel, foi pintado com tinta acrílica. A palavra acrílica se refere ao tipo de resina presente na tinta: dos poliacrilatos. A resina é o componente que forma o filme sólido aderido à superfície após a aplicação da tinta. Após essa aplicação, ocorre a polimerização do monômero — o qual está inicialmente na forma líquida —, e, assim, origina-se o filme sólido. Um exemplo de monômero das tintas acrílicas é o metacrilato de metila, que pode ser obtido a partir da reação de esterificação do ácido metacrílico com metanol, conforme mostrado a seguir.

Tabela I. Entalpias padrão de formação (ΔHf) a 25 ºC e pontos de fusão (PF) e de ebulição (PE)
|
composto |
*ΔHf (kJ/mol) | **PF (ºC) |
**PE (ºC) |
|
ácido metacrílico |
418 | 15 | 163 |
|
metanol |
245 | 97 | 65 |
|
metacrilato de metila |
386 | 48 | 100 |
|
água |
286 | 0 | 100 |
* para o estado físico mais estável da substância a 25 ºC e 1,0 bar
** a 1,0 bar
Tabela II. Velocidades da reação de polimerização do metacrilato de
metila medidas para diferentes concentrações do monômero e do
iniciador
|
concentração |
velocidade |
|
|
do monômero |
do iniciador | |
| x | y | z |
| 4x | y | 4z |
| 4x | 4y | 8z |
Considerando as informações fornecidas e os dados apresentados nas tabelas I e II, julgue os itens de 11 a 14 e faça o que se pede no item 15, que é do tipo C.
Da tabela II infere-se que a lei de velocidade (v) para a reação de polimerização do metacrilato de metila é dada por v = k × [monômero] × [iniciador], em que k é a constante de velocidade da reação.
Provas

O quadro apresentado, que ilustra a cena em que um tiranossauro levanta um automóvel, foi pintado com tinta acrílica. A palavra acrílica se refere ao tipo de resina presente na tinta: dos poliacrilatos. A resina é o componente que forma o filme sólido aderido à superfície após a aplicação da tinta. Após essa aplicação, ocorre a polimerização do monômero — o qual está inicialmente na forma líquida —, e, assim, origina-se o filme sólido. Um exemplo de monômero das tintas acrílicas é o metacrilato de metila, que pode ser obtido a partir da reação de esterificação do ácido metacrílico com metanol, conforme mostrado a seguir.

Tabela I. Entalpias padrão de formação (ΔHf) a 25 ºC e pontos de fusão (PF) e de ebulição (PE)
|
composto |
*ΔHf (kJ/mol) | **PF (ºC) |
**PE (ºC) |
|
ácido metacrílico |
418 | 15 | 163 |
|
metanol |
245 | 97 | 65 |
|
metacrilato de metila |
386 | 48 | 100 |
|
água |
286 | 0 | 100 |
* para o estado físico mais estável da substância a 25 ºC e 1,0 bar
** a 1,0 bar
Tabela II. Velocidades da reação de polimerização do metacrilato de
metila medidas para diferentes concentrações do monômero e do
iniciador
|
concentração |
velocidade |
|
|
do monômero |
do iniciador | |
| x | y | z |
| 4x | y | 4z |
| 4x | 4y | 8z |
Considerando as informações fornecidas e os dados apresentados nas tabelas I e II, julgue os itens de 11 a 14 e faça o que se pede no item 15, que é do tipo C.
Os dados fornecidos na tabela I indicam que a reação de esterificação do ácido metacrílico com metanol, a 1,0 bar e 25 ºC, é uma reação endotérmica.
Provas

O quadro apresentado, que ilustra a cena em que um tiranossauro levanta um automóvel, foi pintado com tinta acrílica. A palavra acrílica se refere ao tipo de resina presente na tinta: dos poliacrilatos. A resina é o componente que forma o filme sólido aderido à superfície após a aplicação da tinta. Após essa aplicação, ocorre a polimerização do monômero — o qual está inicialmente na forma líquida —, e, assim, origina-se o filme sólido. Um exemplo de monômero das tintas acrílicas é o metacrilato de metila, que pode ser obtido a partir da reação de esterificação do ácido metacrílico com metanol, conforme mostrado a seguir.

Tabela I. Entalpias padrão de formação (ΔHf) a 25 ºC e pontos de fusão (PF) e de ebulição (PE)
|
composto |
*ΔHf (kJ/mol) | **PF (ºC) |
**PE (ºC) |
|
ácido metacrílico |
418 | 15 | 163 |
|
metanol |
245 | 97 | 65 |
|
metacrilato de metila |
386 | 48 | 100 |
|
água |
286 | 0 | 100 |
* para o estado físico mais estável da substância a 25 ºC e 1,0 bar
** a 1,0 bar
Tabela II. Velocidades da reação de polimerização do metacrilato de
metila medidas para diferentes concentrações do monômero e do
iniciador
|
concentração |
velocidade |
|
|
do monômero |
do iniciador | |
| x | y | z |
| 4x | y | 4z |
| 4x | 4y | 8z |
Considerando as informações fornecidas e os dados apresentados nas tabelas I e II, julgue os itens de 11 a 14 e faça o que se pede no item 15, que é do tipo C.
Havendo metanol suficiente, a quantidade máxima de metacrilato de metila que pode ser obtida a partir de 1,00 kg de ácido metacrílico é superior a 1,20 kg.
Provas

O quadro apresentado, que ilustra a cena em que um tiranossauro levanta um automóvel, foi pintado com tinta acrílica. A palavra acrílica se refere ao tipo de resina presente na tinta: dos poliacrilatos. A resina é o componente que forma o filme sólido aderido à superfície após a aplicação da tinta. Após essa aplicação, ocorre a polimerização do monômero — o qual está inicialmente na forma líquida —, e, assim, origina-se o filme sólido. Um exemplo de monômero das tintas acrílicas é o metacrilato de metila, que pode ser obtido a partir da reação de esterificação do ácido metacrílico com metanol, conforme mostrado a seguir.

Tabela I. Entalpias padrão de formação (ΔHf) a 25 ºC e pontos de fusão (PF) e de ebulição (PE)
|
composto |
*ΔHf (kJ/mol) | **PF (ºC) |
**PE (ºC) |
|
ácido metacrílico |
418 | 15 | 163 |
|
metanol |
245 | 97 | 65 |
|
metacrilato de metila |
386 | 48 | 100 |
|
água |
286 | 0 | 100 |
* para o estado físico mais estável da substância a 25 ºC e 1,0 bar
** a 1,0 bar
Tabela II. Velocidades da reação de polimerização do metacrilato de
metila medidas para diferentes concentrações do monômero e do
iniciador
|
concentração |
velocidade |
|
|
do monômero |
do iniciador | |
| x | y | z |
| 4x | y | 4z |
| 4x | 4y | 8z |
Considerando as informações fornecidas e os dados apresentados nas tabelas I e II, julgue os itens de 11 a 14 e faça o que se pede no item 15, que é do tipo C.
A 25 ºC e 1,0 bar, todas as substâncias envolvidas na reação de esterificação do ácido metacrílico (reagentes e produtos) encontram-se no estado líquido.
Provas
A imaginação sociológica permite-nos compreender a história e a biografia e as relações entre ambas dentro da sociedade. Essa é a sua tarefa e a sua promessa. Nenhum estudo social que não se volte ao problema da biografia, da história e de suas interligações dentro de uma sociedade completará a sua jornada intelectual, pois essa imaginação é a capacidade de passar de uma perspectiva a outra — da política para a psicológica; do exame de uma única família para a análise comparativa dos orçamentos nacionais do mundo; da escola teológica para a estrutura militar; de considerações de uma indústria petrolífera para estudos da poesia contemporânea.
Charles Wright Mills A promessa In: Charles Wright Mills A imaginação sociológica Trad Waltensir Dutra Rio de Janeiro: Zahar Editores, 1982, p 12-3 (com adaptações)
Com base no excerto de texto precedente, julgue os itens de 102 a 105 e assinale a opção correta no item 106, que é do tipo C.
De acordo com o autor do texto, o estudo social é interdisciplinar.
Provas
A imaginação sociológica permite-nos compreender a história e a biografia e as relações entre ambas dentro da sociedade. Essa é a sua tarefa e a sua promessa. Nenhum estudo social que não se volte ao problema da biografia, da história e de suas interligações dentro de uma sociedade completará a sua jornada intelectual, pois essa imaginação é a capacidade de passar de uma perspectiva a outra — da política para a psicológica; do exame de uma única família para a análise comparativa dos orçamentos nacionais do mundo; da escola teológica para a estrutura militar; de considerações de uma indústria petrolífera para estudos da poesia contemporânea.
Charles Wright Mills A promessa In: Charles Wright Mills A imaginação sociológica Trad Waltensir Dutra Rio de Janeiro: Zahar Editores, 1982, p 12-3 (com adaptações)
Com base no excerto de texto precedente, julgue os itens de 102 a 105 e assinale a opção correta no item 106, que é do tipo C.
No texto, o autor delimita os temas de maior relevância para os estudos sociológicos do período em que ele escrevia e que, portanto, deveriam tornar-se prioridade da investigação científica.
Provas
Caderno Container