Foram encontradas 274 questões.
O MS Windows 7 suporta uma grande variedade de computadores e dispositivos, no entanto, dispositivos mais recentes podem precisar de drivers atualizados. Com relação à instalação do Windows 7 em um computador que requeira um driver específico para a controladora de disco:
Provas
Leia com atenção as seguintes afirmações.
I) A consulta SQL que produz a lista dos alunos que se inscreveram em todas as disciplinas é:
SELECT nome FROM aluno a
WHERE not exists
(SELECT * FROM disciplina d
WHERE not exists
(SELECT * FROM matricula ad
WHERE ad.cod_disciplina = d.codigo and ad.RA =
a.RA))
II) Suponha que a tabela aluno passe a ter uma coluna que registra a contagem de matrículas de cada aluno em disciplinas e que este número não possa ser superior a 10. Uma maneira adequada de implementar esta restrição e manter atualizado o referido contador é através de constraints baseadas em cláusulas check.
III) O comando SQL que produz a lista de disciplinas com mais de 30 alunos (maior ou igual que 30) é:
SELECT disciplina
FROM disciplina d
WHERE (
SELECT sum(1) FROM matricula ad
WHERE ad.cod_disciplina = d.codigo) >= 30
IV) Suponha que o comando alter table disciplina add column tipo varchar(20) default null tenha sido executado. Considerando que o esquema relacional permaneça normalizado até a Forma Normal Boyce-Codd, a dependência funcional que NÃO pode existir é: tipo -> codigo.
V) Suponha que o comando alter table disciplina add column tipo varchar(20) default null tenha sido executado. Considerando que o esquema relacional permaneça normalizado até a Terceira Forma Normal, a dependência funcional que NÃO pode existir é: tipo -> codigo.
Assinale a alternativa correta.
Provas
considere um banco de dados simplificado referente ao controle de uma secretaria acadêmica, constituído pelas tabelas Departamento, Disciplina, Professor, Aluno e Matrícula, criadas pelo script SQL mostrado abaixo.
CREATE TABLE departamento (codigo int PRIMARY KEY, nome
varchar(100));
CREATE TABLE aluno (RA int PRIMARY KEY, nome varchar(100),
endereco varchar(250), cidade
varchar(100));
CREATE TABLE professor (codigo varchar(9) PRIMARY KEY, nome
varchar(100), sala int, departamento int
REFERENCES departamento(codigo));
CREATE TABLE disciplina (codigo int PRIMARY KEY, disciplina
varchar(100), departamento int REFERENCES
departamento(codigo), professor
varchar(9) REFERENCES professor(codigo));
CREATE TABLE matricula (RA int REFERENCES aluno(RA),
cod_disciplina int REFERENCES
disciplina(codigo), creditos int, PRIMARY
KEY(RA,cod_disciplina));
Em SQL Server, considere as instruções seguintes:
-- adiciona coluna data de matricula
ALTER TABLE matricula ADD dt_matricula date;
CREATE TRIGGER tgr_historico_matricula
ON matricula
AFTER INSERT
AS BEGIN
UPDATE matricula
SET dt_matricula = GETDATE()
FROM inserted
WHERE inserted.RA = matricula.RA
END;
Assinale a alternativa correta.
Provas
Considere as seguintes afirmativas sobre segurança no PostgreSQL:
I) Roles podem ser interpretados como grupos de usuários para os quais permissões podem ser atribuídas em bloco.
II) Um usuário que não seja DBA jamais pode atribuir permissões para outros usuários.
III) É possível designar permissões para registros completos, mas não para colunas isoladas.
IV) Depois de encerrado o processo de instalação do PostgreSQL não é possível criar um novo Superusuário.
Sobre as afirmativas, pode-se concluir que:
Provas
- Fundamentos de ProgramaçãoEstruturas de DadosEstrutura de Dados: Fila
- Fundamentos de ProgramaçãoEstruturas de DadosEstrutura de Dados: Pilha
- Fundamentos de ProgramaçãoLógica de Programação
Uma aplicação usou pilha e fila para ler uma palavra e invertê-la, porém manteve a ordem das vogais. Por exemplo, para a palavra FACIL a saída é LACIF. Para essa mesma palavra, a ordem das operações foi:
Provas
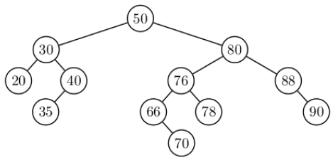
Considerando o seguinte código e que a função f recebe como parâmetro o endereço da raiz da árvore da Figura abaixo, assinale a alternativa correta:
typedef struct no {
int info;
struct no *esq, *dir;
} No;
int f (No *r){
int a, b;
if (r == NULL) return 0;
a = f(r->esq);
b = f(r->dir);
if (a == 0 && b == 0)
return 1;
return a + b;
}

Provas
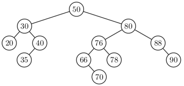
Considerando a árvore da seguinte figura, assinale a alternativa correta:

Provas
Observe o código Java a seguir:
public class TestThread extends Thread {
private int data = 7;
public static void main(String args[]) {
TestThread t = new TestThread();
t.foo();
}
public void foo() {
start();
data = 10;
data += 20;
data += 3;
}
public void run() {
System.out.println(data);
}
}
Analisando o código, o resultado é:
Provas
Observe o código Java a seguir:
interface I1 {
public void meth1();
}
class C1 implements I1 {
public void meth1() {
...
}
}
class C2 implements I1 {
public void meth1() {
...
}
}
class Factory {
public static I1 getInstancia (int op1) {
if (op1 == 0) return new C1();
return new C2();
}
}
public class Customer {
public void meth1() {
int op1 = 0;
AAA obj = BBB;
...
}
}
De modo a não tornar a classe Customer dependente de uma implementação específica, as expressões em AAA e BBB poderiam ser substituídas, respectivamente, por:
Provas
Considere o código-fonte abaixo escrito em linguagem C. Na rotina main, há atribuições para as variáveis a e b.
#include <stdio.h>
void F1(int *a, int *b)
{
*a = *a - *b - 1;
*b = *a + *b - 1;
}
void F2(int a, int *b)
{
a = a - *b - 1;
*b = a + *b - 1;
}
void F3(int *a, int b)
{
*a = *a - b - 1;
b = *a + b - 1;
}
void F4(int a, int b)
{
a = a - b - 1;
b = a + b - 1;
}
int main() {
int i, j;
i = 10;
j =5;

printf("i=%d, j=%d\n", i, j);
return 0;
}
O retângulo logo abaixo das atribuições de i e j pode ser preenchido com uma chamada a uma das rotinas F1, F2, F3 ou F4. Assinale a alternativa que apresenta a chamada correta e os valores impressos de i e j, respectivamente:
Provas
Caderno Container