Foram encontradas 115 questões.
- IntroduçãoAdministrador de Redes
- TCP/IPConceitos e Especificações do IP
- TCP/IPSub-redes, Máscara e Endereçamento IP
Um administrador de redes está
implantando uma nova rede para 54 máquinas em
seu local de trabalho para atender ao departamento
de criação. Ele utiliza a rede privada 10.15.0.0/16
para atender e dividir os departamentos
internamente. Sabendo-se dessas restrições, qual a
máscara de rede que desperdiça menos endereços
IP para essa nova divisão?
Provas
Questão presente nas seguintes provas
- Conceitos BásicosTerminologiaVulnerabilidade
- Ataques e Golpes e AmeaçasAtaques à Camada de AplicaçãoXSS: Cross-Site-Scripting
Um administrador de redes realizou
vários testes de segurança no site que administra e
verificou nas logs a sigla XSS. Essa sigla
representa
Provas
Questão presente nas seguintes provas
- Protocolos e ServiçosAcesso Remoto e TerminalSSH: Secure Shell
- Protocolos e ServiçosConfiguração de RedeNTP: Network Time Protocol
- Protocolos e ServiçosInternet e EmailHTTP: Hyper Text Transfer Protocol
- Protocolos e ServiçosInternet e EmailSMTP: Simple Mail Transfer Protocol
Dados os seguintes serviços SMTP,
HTTP, NTP e SSH, marque a alternativa que
apresenta suas respectivas portas padrão.
Provas
Questão presente nas seguintes provas
O número de endereços IPV4
válidos para uma classe B com blocos de tamanho
padrão fixos é de
Provas
Questão presente nas seguintes provas
O Python possui diversos objetos de
persistência, dentre eles o
Provas
Questão presente nas seguintes provas
Uma folha de estilo pode ser criada
e definida como interna quando as regras CSS
estão declaradas
Provas
Questão presente nas seguintes provas
- Fundamentos de ProgramaçãoEstruturas de DadosDefinição: Estrutura de Dados
- Fundamentos de ProgramaçãoEstruturas de DadosEstrutura de Dados: Pilha
Assinale a alternativa que apresenta
um tipo de estrutura de dados.
Provas
Questão presente nas seguintes provas
As funções das camadas lógicas em
uma arquitetura MVC são muito bem definidas.
Cada uma dessas camadas possuem de forma
especializada funções que promovem um
funcionamento do software de forma mais
organizada auxiliando inclusive na
“manutenabilidade". Considere as seguintes
funções em MVC:
1. Trata o encapsulamento dos objetos do conteúdo.
2. Trata o comportamento do modelo
3. Trata a requisição das atualizações do modelo.
Essas funções correspondem, respectivamente, à
1. Trata o encapsulamento dos objetos do conteúdo.
2. Trata o comportamento do modelo
3. Trata a requisição das atualizações do modelo.
Essas funções correspondem, respectivamente, à
Provas
Questão presente nas seguintes provas
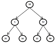
Dada a árvore binária de busca a
seguir, assinale a alternativa que apresenta a
sequência de inserção que a gera.


Provas
Questão presente nas seguintes provas
Assinale a alternativa que apresenta
uma técnica sistemática para construir a
arquitetura do software enquanto conduz testes
para descobrir erros associados às interfaces.
Provas
Questão presente nas seguintes provas
Cadernos
Caderno Container