Foram encontradas 875 questões.
Assinale a alternativa correta que expressa o volume a ser lido na bureta mostrada abaixo que acabou de ser utilizada em uma titulação.

Provas
A soma dos menores coeficientes inteiros que tomam a reação abaixo balanceada é
MnO4-(aq) + C2O4=(aq) + H+(aq)⇌Mn+2(aq) + CO2(g) + H2O(aq)
Provas
Os íons chumbo (Pb+2) e mercuroso (Hg2+2) precipitam na forma de cloretos, e os valores de seus Kps são, respectivamente, 1,7.10-5 e 1,4.10-18 Pelo exposto, analise as assertivas abaixo.
I. O cloreto de chumbo é o mais solúvel.
II. O cloreto mercuroso é o mais solúvel.
III. Não é possível prever qual composto é o mais solúvel apenas pelo valor do Kps.
IV. Ao adicionarmos solução de cloreto a uma solução contendo estes íons, ambos com a mesma concentração, precipitaria primeiro o cloreto de chumbo.
V. Ao adicionarmos solução de cloreto a uma solução contendo estes íons, ambos com a mesma concentração, precipitaria primeiro o cloreto mercuroso.
Das assertivas apresentadas, estão corretas apenas
Provas
- Química InorgânicaSoluções e Substâncias InorgânicasSoluções: características, tipos de concentração, diluição, mistura, titulação e soluções coloidais
Titulação é o nome dado ao processo empregado em laboratórios químicos no qual se determina a concentração de uma solução pelo confronto com uma outra espécie química, com concentração e natureza conhecidas. Considere as afirmativas a seguir.
I. Os indicadores mais utilizados em titulações complexométricas são os que formam compostos insolúveis com o analito.
II. Na titulação de um ácido fraco por uma base forte, o ponto estequiométrico é caracterizado por uma solução com caráter neutro.
III. Em uma titulação redox, o agente oxidante é o que possui o maior potencial padrão de redução.
IV. Os métodos de Mohr e Fajans utilizam o nitrato de prata como titulante.
V. Em uma titulação, é indispensável que serince a bureta, a pipeta volumétrica e o erlenmeyer.
Das afirmativas apresentadas, estão corretas apenas
Provas
Observe as afirmativas abaixo, que se referem à cromatografia líquida de alta eficiência (CLAE).
I. Uma eluição isocrática é aquela na qual a composição do solvente permanece constante.
II. A CLAE limita-se à análise quantitativa de substâncias voláteis.
III. Tem baixa capacidade preparativa, havendo a necessidade de múltiplas injeções de amostra.
IV. O detector por captura de elétrons é comumente usado na CLAE.
Das afirmativas apresentadas, está(ão) correta(s) apenas
Provas
Segundo Arrhenius, Brõnsted - Lowry e Lewis, uma base é, respectivamente,
Provas
As Figuras de I a V ilustram algumas das vidrarias comuns usadas nos laboratórios.

A alternativa que apresenta a afirmação correta no que concerne ao uso das vidrarias apresentadas é
Provas
A espectroscopia de absorção baseada na radiação UV e visível pode ser usada para análise quantitativa, e sua aplicação se baseia na Lei de Lambert-Beer. Considerando esse tópico, assinale a alternativa correta.
Provas
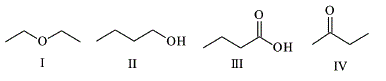
Considere as seguintes substâncias químicas:

A ordem crescente de ponto de ebulição das substâncias acima é dada por
Provas
Observe a fórmula estrutural do eugenol (óleo de cravo) e assinale a alternativa correta.

Provas
Caderno Container