Magna Concursos

Foram encontradas 875 questões.

1892485 Ano: 2009
Disciplina: Engenharia Civil
Banca: UFRRJ
Orgão: UFRRJ
Provas:

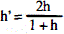
Considerando-se o teor de umidade como uma porcentagem h' do peso total da amostra, a relação entre h' e o teor de umidade h, convencionalmente expressa como porcentagem do peso seco da amostra é:

 

Provas

Questão presente nas seguintes provas
1892484 Ano: 2009
Disciplina: Engenharia Civil
Banca: UFRRJ
Orgão: UFRRJ
Provas:

A análise granulométrica de uma areia apresentou o seguinte resultado:

d70% = 0,7mm, e o coeficiente de uniformidade Cu = 2. Portanto, o coeficiente de permeabilidade dessa areia é

 

Provas

Questão presente nas seguintes provas
1892482 Ano: 2009
Disciplina: Engenharia Civil
Banca: UFRRJ
Orgão: UFRRJ
Provas:

Sobre a classificação da cal em relação à sua composição ou ao seu rendimento, analise as afirmativas a seguir.

I. A cal cálcica contém mais de 75 % de CaO.

II. A cal magnesiana contém mais de 20 % de MgO.

III. A cal gorda é uma classificação conforme o seu rendimento em pasta.

IV. Em geral, a cal magnesiana é uma cal gorda.

Considerando V (Verdadeiro) ou F (Falso), assinale a alternativa que corresponde à sequência correta.

 

Provas

Questão presente nas seguintes provas
1892481 Ano: 2009
Disciplina: Engenharia Civil
Banca: UFRRJ
Orgão: UFRRJ
Provas:

Sobre a execução de alvenarias com blocos cerâmicos de 10cm x 20cm x20cm, analise as afirmações a seguir.

I. No caso de paredes altas em alvenaria, por exemplo, com altura superior a 3,0 m, deverão ser previstas cintas de amarração intermediárias, dimensionadas, sobretudo, para absorver a ação de cargas laterais.

II. Junto às faces das peças de concreto que terão ligação com a alvenaria, após limpeza do desmoldante, deverá ser aplicado chapisco.

III. As ligações com pilares poderão ser melhoradas com a colocação de ferros de espera (ferro-cabelo) chumbados durante a própria concretagem do pilar.

IV. No caso das construções com estrutura independente de concreto armado, ao se levantar a parede, não é necessário deixar um espaço entre a última fiada de tijolos e a viga.

V. As juntas da argamassa de assentamento devem ser de l,0cm a 2,0 cm.

Considerando V (Verdadeiro) ou F (Falso), assinale a alternativa que corresponde à sequência correta.

 

Provas

Questão presente nas seguintes provas
1891900 Ano: 2009
Disciplina: Engenharia Civil
Banca: UFRRJ
Orgão: UFRRJ
Provas:

Os procedimentos a seguir referem-se a paredes com reboco após serem limpas, secas e isentas de substâncias que possuam incompatibilidade físico-química com os componentes da tinta:

I. aplicar selador,

II. aplicar antióxido de zarcão ou cromato de zinco,

III. emassar,

IV. aplicar fosfatizante ou passivante,

V. aparelhar.

Assinale a alternativa que apresenta a ordem correta dos procedimentos a serem adotados.

 

Provas

Questão presente nas seguintes provas
1891899 Ano: 2009
Disciplina: Engenharia Civil
Banca: UFRRJ
Orgão: UFRRJ
Provas:

Pode-se afirmar que são indispensáveis para a confecção de concreto estrutural:

I. composição granulométrica.

II. índice de forma do agregado.

III. ensaio de coloração dos grãos da areia.

IV. teor de material pulverulento.

V. ensaio de abrasão Los Angeles.

VI. teor de torrões de argila.

VI. ensaio de qualidade.

Após análise dos itens de controle tecnológico da areia indicados acima, considera-se que, das opções apresentadas, estão corretas somente

 

Provas

Questão presente nas seguintes provas
1891898 Ano: 2009
Disciplina: Engenharia Civil
Banca: UFRRJ
Orgão: UFRRJ
Provas:

A cura do concreto, quando bem realizada, desenvolve a resistência à compressão em tomo de 10% a 12 % maior do que em concretos em que ela não se realiza. A duração mínima do tempo de cura do concreto para se atingir as melhores resistências é até

 

Provas

Questão presente nas seguintes provas
1891897 Ano: 2009
Disciplina: Engenharia Civil
Banca: UFRRJ
Orgão: UFRRJ
Provas:

No que diz respeito ao lançamento do concreto nas formas, ao adensamento e à cura do concreto, etapas, entre outras, muito importantes na produção de um concreto resistente e durável, analise as afirmativas abaixo.

I. No momento do lançamento do concreto, as formas, quando de madeira, devem estar saturadas de água.

II. Tanto a falta como o excesso de vibração são prejudiciais ao concreto.

III. A cura do concreto deve ser feita até que sua resistência à compressão atinja pelo menos 10MPa.

IV. Admite-se que o concreto seja espalhado por arrastamento, em distâncias da ordem de 1,5 a 2,0 m.

V. A cura do concreto tem por finalidade a eliminação do ar e dos vazios contidos na massa.

Considerando V (Verdadeiro) ou F (Falso), assinale a alternativa que corresponde à sequência correta.

 

Provas

Questão presente nas seguintes provas
1891896 Ano: 2009
Disciplina: Engenharia Civil
Banca: UFRRJ
Orgão: UFRRJ
Provas:

No que diz respeito ao Programa Brasileiro de Qualidade e Produtividade na Construção Habitacional, chamado PBQP-H, normalizado pelo Sistema de Qualificação de Empresas de Serviços e Obras, denominado SIQ Construtoras, válido para empresas que atuam no subsetor de edificações criado pelo Governo Federal no ano 2000, analise as afirmativas a seguir.

I. Tem caráter nacional, ou seja, o sistema é único e se aplica a todos os tipos de contratantes (públicos municipais, estaduais, federais ou privados) e à totalidade das obras de edifícios, em todo o Brasil.

II. O sistema baseia-se em requisitos que possibilitam a adequação ao sistema de organizações de diferentes regiões que utilizem diferentes tecnologias e que atuem na construção de edifícios.

III. É transparente quanto aos critérios e decisões tomadas.

IV. O sistema estabelece o referencial técnico básico do sistema de qualificação evolutiva adequado às características específicas das construtoras atuantes no subsetor de edifícios.

V. Os Atestados de Qualificação para os diversos níveis só terão validade se emitidos por Organismo de Certificação Credenciado (OCC), autorizado pela Comissão Nacional (CN) do SIQ para atuarem no sistema.

Considerando V (Verdadeiro) ou F (Falso), assinale a alternativa que corresponde à sequência correta.

 

Provas

Questão presente nas seguintes provas
1420786 Ano: 2009
Disciplina: Engenharia Civil
Banca: UFRRJ
Orgão: UFRRJ
Provas:

A composição de custo de um serviço de engenharia faz-se necessária para se obter(em) o(s)

 

Provas

Questão presente nas seguintes provas