Foram encontradas 50 questões.
Provas
Provas
- Transmissão de DadosCaracterísticas de TransmissãoAtenuação de Sinal
- Transmissão de DadosCaracterísticas de TransmissãoLargura de Banda
- Transmissão de DadosMeios de TransmissãoCabeamento FìsicoMeio de Transmissão: Fibra Óptica
- Transmissão de DadosMeios de TransmissãoCabeamento FìsicoMeio de Transmissão: Par Trançado
Provas
Provas
Provas
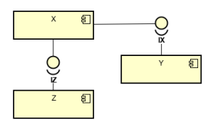
A Linguagem de Modelagem Unificada (UML) é utilizada para a visualização, a especificação, a construção e a documentação de artefatos de software. Nesse contexto, observe a figura abaixo.

Essa figura representa um diagrama UML de
Provas
Provas
A linguagem de programação Java permite a criação de programas que façam uso de recursividade. Isto posto, analise a classe Java, denominada X, abaixo.

Com base nessas informações, conclui-se:
Provas
Python é uma linguagem de programação de alto nível, interpretada, orientada a objetos, funcional, de tipagem dinâmica e forte. Levando isso em conta, analise o código em Python abaixo.

Nesse caso, ao executar o programa, o valor impresso será
Provas
Com a linguagem de programação Python, é possível realizar a criação de funções recursivas, que são bastante úteis para resolução de problemas computacionais. Tendo isso em mente, analise o código em Python abaixo.

Nesse caso, ao executar o programa, o valor impresso será
Provas
Caderno Container