Foram encontradas 50 questões.
Para que um método de análise seja utilizado na rotina de um laboratório de controle de qualidade, é necessário que ele seja validado. No Brasil, os requisitos para a validação de um método analítico são descritos na RDC 166/2017 da Anvisa. Considere as seguintes afirmativas sobre os parâmetros de validação.
I Limite de detecção é a menor quantidade do analito presente em uma amostra que pode ser detectado, porém, não necessariamente quantificado, sob as condições experimentais estabelecidas.
II Precisão é o grau de concordância entre os resultados individuais do método em estudo em relação a um valor aceito como verdadeiro.
III Robustez é a capacidade de identificar ou quantificar o analito de interesse, inequivocamente, na presença de componentes que podem estar na amostra, como , impurezas, diluentes e componentes da matriz.
IV Linearidade é a capacidade de uma metodologia analítica de demonstrar que os resultados obtidos são diretamente proporcionais à concentração do analito na amostra, dentro de um intervalo especificado.
Estão corretas as afirmativas
Provas
A Farmacopeia Brasileira permite que a absortividade específica – A (1%, 1 cm) – seja empregada alternativamente à preparação de uma solução padrão em análises espectrofotométricas. Assim, a absorvância de uma solução a 0,015 mg/mL de hidroclorotiazida – A (1%, 1 cm) = 520 – medida em comprimento de onda de 273 nm e utilizando uma cubeta de 1 cm é
Provas
As Parcerias para o Desenvolvimento Produtivo (PDP) visam ampliar o acesso a medicamentos e produtos para saúde considerados estratégicos para o Sistema Único de Saúde (SUS), por meio do fortalecimento do complexo industrial do país. O objetivo principal é financiar o desenvolvimento nacional para reduzir os custos de aquisição dos medicamentos e produtos que atualmente são importados ou que representam um alto custo para o sistema. Tendo como base a RDC 2531 de 2014, considere as afirmações abaixo.
I As PDP são parcerias que envolvem a cooperação mediante acordo entre instituições públicas e entre instituições públicas e entidades privadas para desenvolvimento, transferência e absorção de tecnologia, produção, capacitação produtiva e tecnológica do país em produtos estratégicos para atendimento às demandas do SUS.
II No caso da empresa detentora da tecnologia utilizar o insumo farmacêutico ativo (IFA) internacional, a empresa a internalizar a tecnologia deve manter o IFA internacional após conclusão da internalização.
III Para a primeira aquisição, o registro sanitário do produto objeto da PDP poderá ser da instituição pública ou da entidade privada, desde que esteja em processo comprovado de desenvolvimento, transferência e absorção de tecnologia.
IV O ano 1 da PDP se iniciará a partir da assinatura do termo de compromisso e formalização de acordo ou contrato entre as partes, iniciando as etapas de desenvolvimento, transferência e absorção de tecnologia do produto objeto da PDP com observância dos critérios, diretrizes e orientações da RDC 2531 supra mencionada.
Em relação ao exposto, estão corretas as afirmações
Provas
A escolha de um agente emulsionante (tensoativo) é primordial no desenvolvimento de uma emulsão, sendo o equilíbrio hidrófilo-lipófilo (EHL) do tensoativo o parâmetro essencial a ser avaliado. Sobre a escolha de tensoativos, é correto afirmar que, para o desenvolvimento de emulsões do tipo
Provas
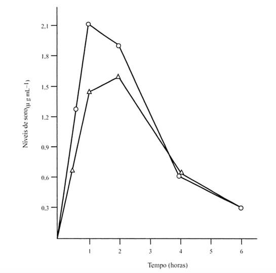
Uma propriedade importante de muitas entidades químicas, incluindo a maior parte dos fármacos, é o seu estado de cristalinidade, já que influencia a sua solubilidade e consequentemente, a biodisponibilidade. O gráfico abaixo representa as curvas da concentração plasmática em função do tempo, após administração oral de suspensões contendo 250 mg de ampicilina anidra e tri-hidratada.

De acordo com o gráfico, é correto afirmar:
Provas
Um dos pontos mais importantes para haver uma eficiência plena dos misturadores de pós é a relação entre a quantidade de pós a misturar é a capacidade do misturador. O tamanho do misturador disponível, muitas vezes determina o tamanho do próprio lote. Dispondo -se de um misturador tipo bin com capacidade de 400 litros, volume de trabalho de 20 a 80% e produtos com densidades próximas de 0,8 g/ml, os tamanhos de lote adequados a serem misturados nesse equipamento são
Provas
Durante o processo de produção e utilização de produtos farmacêuticos, podem ocorrer fenômenos indesejados relacionados às falhas de produção ou problemas de estabilidade. As formas farmacêuticas nas quais acontecem os fenômenos “capping”, “creaming” e “caking” são, respectivamente:
Provas
Após testes de pré-formulação, o setor de pesquisa e desenvolvimento de uma indústria farmacêutica desenvolveu um comprimido para ser produzido por granulação úmida em sua planta industrial. Para produzir esse medicamento, além de se observar as boas práticas de fabricação (BPF), é necessário obedecer o fluxo de produção, considerando -se as operaçõesequipamentos a serem utilizados. No caso desse comprimido, o fluxo produtivo é
Provas
De acordo com a RDC nº 60 de 2014, os testes que devem, obrigatoriamente, ser realizados no medicamento a ser registrado como medicamento genérico, são:
Provas
A produção de medicamentos deve ser realizada segundo normas específicas e diversas exigências incluindo infraestrutura. Na etapa de planejamento industrial, deve-se prever, para o armazenamento de insumos farmacêuticos
Provas
Caderno Container