Foram encontradas 48 questões.
Um pesquisador está conduzindo um estudo
para verificar se o tempo médio de execução
de um programa de computador é superior a 5
segundos. Uma amostra de tamanho 16 dos tempos de execução foi coletada e os valores da
média e o desvio padrão amostral são respectivamente: x = 5,24 e s = 0,25. Supondo que a
população seja aproximadamente normalmente
distribuída e usando um nível de significância de
5%, deseja-se testar a hipótese nula de que a
média do tempo de execução é igual a 5 segundos versus a hipótese alternativa de que a média
é maior que 5 segundos. Use como dado que o
quantil da distribuição t-Student no nível de 5%
e 15 graus de liberdade é 1,75. Escolha a alternativa correta que indica o valor da estatística de
teste e a decisão em relação à hipótese nula.
Provas
Questão presente nas seguintes provas
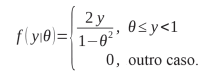
Considere a função de densidade de probabilidades

se uma amostra aleatória de tamanho 6 resultou nas medidas 0,70; 0,63; 0,92; 0,86; 0,43 e 0,21. Encontre o valor do estimador de máxima verossimilhança.
Provas
Questão presente nas seguintes provas
Suponha que uma amostra aleatória simples, sem
reposição, de tamanho n = 4 foi retirada de uma
população com N = 8 elementos, representada pelo
conjunto {Y1 , Y2 , ..., Y8 }, o número total de configurações possíveis será igual a:
Provas
Questão presente nas seguintes provas
Suponha que X1, ..., Xn é uma amostra aleatória de
tamanho n de uma distribuição na qual a média é 8 e a
variância é 9. Usando a desigualdade de Tchebychev,
determine qual deve ser o valor de n de modo que a
probabilidade de que a média amostral pertença ao
intervalo [7,9] seja igual o superior a 0,9, isto é:

Provas
Questão presente nas seguintes provas
Suponha que o tempo de atendimento em caixas de um supermercado segue uma distribuição
exponencial com média de 5 minutos. Considere um grupo de cinco pessoas que estão sendo
atendidas. Aproximadamente a probabilidade de
3 delas terem que esperar menos de 3 minutos
para terminarem de ser atendidas é:
Use em todos os cálculos duas casas decimais e considere que exp (-0,6) = 0 ,55.
Use em todos os cálculos duas casas decimais e considere que exp (-0,6) = 0 ,55.
Provas
Questão presente nas seguintes provas
Seja X uma variável aleatória com média 3 e variância igual a 9. Define-se a variável aleatória Y=4X+3.
Logo, a soma da média e da variância de Y é igual a:
Provas
Questão presente nas seguintes provas
Uma variável aleatória X tem a seguinte função de probabilidade

O valor de P(X=5) é:
Provas
Questão presente nas seguintes provas
Seja X uma variável aleatória que representa as
vendas semanais de um produto em uma determinada loja expressa em milhares de reais, com
função de densidade de probabilidades dada por
f(x) = kx(2-x); 0<x<2
onde k é uma constante de normalização. A probabilidade de X estar entre 1 e 2 com duas casas decimais é:
f(x) = kx(2-x); 0<x<2
onde k é uma constante de normalização. A probabilidade de X estar entre 1 e 2 com duas casas decimais é:
Provas
Questão presente nas seguintes provas
Uma empresa de comércio eletrônico identificou
que 80% das compras realizadas em sua plataforma são feitas por clientes regulares e 20% são
feitas por novos clientes. A empresa também descobriu que 90% dos clientes regulares realizam
compras com sucesso, enquanto apenas 60% dos
novos clientes têm suas compras concluídas com
sucesso. Suponha que um cliente tenha feito uma
compra pela plataforma e a compra tenha sido concluída com sucesso. A probabilidade aproximada
de que esse cliente seja um cliente regular é:
Provas
Questão presente nas seguintes provas
Considere os seguintes resultados relativos ao
lançamento de uma moeda não viesada: I. Ocorrência de duas caras em dois lançamentos. II.
Ocorrência de três caras e uma coroa em quatro
lançamentos. III. Ocorrência de 4 caras e 4 coroas em oito lançamentos. Pode-se afirmar que:
Provas
Questão presente nas seguintes provas
Cadernos
Caderno Container