Foram encontradas 2.039 questões.
- FundamentosPropriedades das Substâncias
- FundamentosSubstâncias, Misturas e Processos de Separação
- Técnicas de LaboratórioEquipamentos e Técnicas Básicas
Provas
O p-nitrofenol é um metabólito de vários pesticidas organofosforados. A determinação eletroquímica foi implementada para detecção e quantificação de resíduos tóxicos em amostras de feijão, resultando no gráfico apresentado.

A concentração de p-nitrofenol que corresponde ao sinal de 99,9 nA na amostra é de: Dados: H = 1 g/mol; C = 12 g/mol; N = 14 g/mol; O = 16 g/mol
Provas
Provas
De acordo com a tabela de frequência e utilizando a definição de espectrometria no infravermelho, o grupo funcional presente no espectro a seguir é:

Dados: Tabela resumida de frequência dos grupos orgânicos

Provas
Provas
Os símbolos a seguir, apresentados no rótulo de uma substância química, informam que o material contido no frasco é:

Provas
- FundamentosPropriedades das Substâncias
- FundamentosSubstâncias, Misturas e Processos de Separação
- Interações com Tecnologia, Sociedade e Meio Ambiente
Provas
- Sistemas de EquilíbrioSistemas Homogêneos: Equilíbrio Químico na Água
- Sistemas de EquilíbrioSistemas Homogêneos: Solubilidade dos Sais, Hidrólise dos Sais e Curvas de Titulação.
A variação de pH de uma solução em relação ao volume de titulante adicionado pode ser observada nas curvas de titulação a seguir.

Assinale a alternativa correta.
Provas
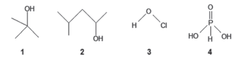
O ácido sulfúrico e o etanol são substâncias químicas muito utilizadas em reações de síntese e também como agentes de limpeza de vidraria. No entanto, é possível encontrar inúmeros tipos de ácidos inorgânicos e álcoois em um laboratório. Sendo assim, os nomes das substâncias a seguir são:

Provas
O composto orgânico de fórmula química

é conhecido como fenilalanina, um dos aminoácidos essenciais ao ser humano, e está presente em todas as proteínas animais e vegetais. A fenilalanina também é encontrada em adoçantes sintéticos a base de aspartame. Sua nomenclatura segundo o sistema IUPAC é:
Provas
Caderno Container