Foram encontradas 80 questões.
A potenciometria se baseia na medida do potencial de células eletroquímicas, sem o consumo apreciável de corrente.
Aponte, entre os termos abaixo, o único que não está relacionado ao estudo dos métodos potenciométricos.
Provas
- Sistemas de EquilíbrioSistemas Homogêneos: Solubilidade dos Sais, Hidrólise dos Sais e Curvas de Titulação.
Em um laboratório de oceanografia química, um técnico analisou uma amostra de água de um canal e percebeu elevada turbidez. Acerca dessa característica, considere as afirmativas a seguir.
1) Deve-se à presença de íons em solução, como sódio e nitrato (Na+ e NO3").
2) É causada pela presença de partículas em suspensão que podem ter origem orgânica ou inorgânica.
3) Pode ser medida em laboratório utilizando-se um turbidímetro.
Está(ão) correta(s), apenas:
Provas
Um acidente ambiental provocou a contaminação das águas de um estuário com chumbo. Uma amostra de 200,0 mL foi coletada para análise e todo o chumbo foi precipitado na forma de PbSO4 devido ao tratamento da amostra com ácido sulfúrico. Sabendo que a massa obtida de PbSO4 foi 6,06 mg, qual é a concentração de chumbo na amostra, em mg/L?
Massas molares (g/mol): O = 16; S = 32; Pb = 207.
Provas
- Química InorgânicaSoluções e Substâncias InorgânicasSoluções: características, tipos de concentração, diluição, mistura, titulação e soluções coloidais
Na padronização de uma solução de Ba(OH)2, utilizou-se 0,61 g do padrão primário ácido benzoico (C6H5COOH). O ponto final foi observado após a adição de 250,0 mL da solução básica. É correto afirmar que a concentração molar de Ba(OH)2 na solução é:
Massas molares (g/mol): H = 1, C = 12, O = 16 e Ba = 137.
Provas
Um estudante se esqueceu de anotar no caderno qual foi o solvente utilizado em uma reação. Ao conversar com seu professor, ele explicou que estava na dúvida entre hexano, acetato de etila, etanol, éter dietílico e tolueno, que eram os solventes disponíveis no laboratório no dia do experimento. Ele relatou também que tinha separado uma pequena amostra do solvente. O professor respondeu que seria fácil tirar a dúvida e levou a amostra para uma análise de espectroscopia de infravermelho, chegando ao seguinte espectro:

A partir do espectro obtido, pode-se afirmar que o solvente utilizado pelo estudante foi
Provas
- Química InorgânicaSoluções e Substâncias InorgânicasSoluções: características, tipos de concentração, diluição, mistura, titulação e soluções coloidais
Para determinar a pureza de uma amostra de 500,0 mg de Na2B4O7(s), um técnico realizou uma titulação com solução de HCl 0,020 M. A reação é:
![]()
Sabendo que o volume utilizado da solução ácida foi 200,0 mL, é correto afirmar que a pureza da amostra em termos percentuais é:
Massas molares (g/mol): H = 1; B = 11; O = 16; Na = 23; Cl = 35,5.
Provas
A figura abaixo mostra as curvas de pressão de vapor versus temperatura de quatro líquidos. Um deles é a água e os outros são os compostos orgânicos éter dietílico, etilenoglicol e etanol (não necessariamente nessa ordem):

Considerando os líquidos mencionados e o gráfico apresentado, indique a alternativa incorreta.
Provas
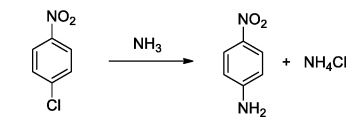
Quando o composto p-cloro-nitrobenzeno é tratado com excesso de amônia em condições apropriadas, ocorre a formação do composto p-amino-nitrobenzeno de acordo com a reação abaixo:

É correto afirmar que esta reação é um exemplo de:
Provas
- Química InorgânicaSoluções e Substâncias InorgânicasSoluções: características, tipos de concentração, diluição, mistura, titulação e soluções coloidais
Provas
Provas
Caderno Container