Foram encontradas 180 questões.
Considere um corpo de minério cilíndrico, vertical e aflorante com 20 metros de diâmetro. Considere,
também, uma cava em forma de tronco de cone com profundidade igual a 100 metros e ângulo geral
de talude igual a α graus. O relevo da superfície pode ser considerado plano. O fundo da cava tem
dimensões iguais ao diâmetro do corpo de minério. A relação estéril / minério de uma secção vertical
transversal da cava que intercepta o centro do minério em função de α é:
Provas
Questão presente nas seguintes provas
A definição do método de Lavra Subterrânea a ser utilizado para corpos minerais verticalizados depende
de diversas propriedades físicas e químicas do minério e das rochas encaixantes.
Assinale a alternativa cuja propriedade do minério desmontado pode restringir a aplicação do método de Lavra por Subníveis.
Assinale a alternativa cuja propriedade do minério desmontado pode restringir a aplicação do método de Lavra por Subníveis.
Provas
Questão presente nas seguintes provas
De acordo com o nível de conhecimento geológico, um recurso mineral pode ser classificado como:
Provas
Questão presente nas seguintes provas
Em relação à operação de hidrociclonagem, assinale a alternativa CORRETA.
Provas
Questão presente nas seguintes provas
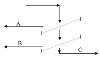
Considere a operação de flotação direta apresentada na figura.

A partir dos dados, assinale a alternativa INCORRETA.
Provas
Questão presente nas seguintes provas
A figura abaixo apresenta o circuito de preparação em uma usina de beneficiamento mineral, utilizando
duas etapas de moagem, empregando moinho convencional (bolas) e SAG.
Considere os dados abaixo, referentes a um dos moinhos (M1 ou M2) presente no circuito da figura:
Massa específica do minério: 3,65 t/m3 d80 (alimentação): 1,9 mm Fator L/D do moinho: 1,5 Grau de redução da operação: 10:1 Rotação do moinho: 15 rpm VC (velocidade crítica) durante a operação do moinho: 75%
Em relação ao circuito de preparação e aos dados fornecidos, assinale a alternativa INCORRETA.
Considere os dados abaixo, referentes a um dos moinhos (M1 ou M2) presente no circuito da figura:
Massa específica do minério: 3,65 t/m3 d80 (alimentação): 1,9 mm Fator L/D do moinho: 1,5 Grau de redução da operação: 10:1 Rotação do moinho: 15 rpm VC (velocidade crítica) durante a operação do moinho: 75%
Em relação ao circuito de preparação e aos dados fornecidos, assinale a alternativa INCORRETA.
Provas
Questão presente nas seguintes provas
A figura abaixo apresenta a curva granulométrica do produto de um britador de mandíbulas, submetido
ao peneiramento industrial.
Uma operação de peneiramento industrial foi planejada para esse material, considerando uma taxa de alimentação de 250 t/h, cuja malha corresponde a uma abertura de 1,0mm. Foram obtidas apenas 75 t/h de material retido na prática industrial. Assinale a alternativa que corresponde à faixa percentual que compreende a eficiência de peneiramento para o material passante da peneira industrial empregada.
Uma operação de peneiramento industrial foi planejada para esse material, considerando uma taxa de alimentação de 250 t/h, cuja malha corresponde a uma abertura de 1,0mm. Foram obtidas apenas 75 t/h de material retido na prática industrial. Assinale a alternativa que corresponde à faixa percentual que compreende a eficiência de peneiramento para o material passante da peneira industrial empregada.
Provas
Questão presente nas seguintes provas
Uma amostra de 100g de minério foi submetida à análise granulométrica e os resultados obtidos seguem abaixo:

Essa amostra foi coletada na alimentação do sistema de peneiras vibratórias apresentado na figura mostrada abaixo. Esse sistema é composto por dois decks, sendo estes, 1,68mm e 0,84mm. Considere que o sistema de peneiramento é alimentado a uma taxa de 200t/h e eficiência de peneiramento industrial igual a 100%.

Em relação ao cenário exposto, assinale a alternativa INCORRETA.
Provas
Questão presente nas seguintes provas
O critério de ruptura de Morh-Coulomb é muito utilizado na mineração a céu aberto para o cálculo de
estabilidade de talude em rochas. O critério de ruptura é expresso pela equação matemática:
= C + σn tanΦ
Assinale a alternativa que apresenta os nomes dos termos da equação do critério de ruptura.
= C + σn tanΦ Assinale a alternativa que apresenta os nomes dos termos da equação do critério de ruptura.
Provas
Questão presente nas seguintes provas
Os métodos de lavra subterrânea podem ser classificados pelo nível de deformação final permitidos nas
escavações. Outra forma de classificação é o nível de tensão resultante pelas escavações. A alternativa
que exemplifica um método de lavra subterrânea com alto nível de deformação e alto nível de tensão
resultante é respectivamente:
Provas
Questão presente nas seguintes provas
Cadernos
Caderno Container