Foram encontradas 360 questões.
- FundamentosPropriedades das Substâncias
- FundamentosSubstâncias, Misturas e Processos de Separação
- Química InorgânicaSoluções e Substâncias InorgânicasSoluções: características, tipos de concentração, diluição, mistura, titulação e soluções coloidais
- Sistemas de EquilíbrioSistemas Homogêneos: Solubilidade dos Sais, Hidrólise dos Sais e Curvas de Titulação.
Quantidades diferentes de permanganato de potássio foram adicionadas em quatro tubos
(A, B, C e D), contendo 25 mL de água em cada um. As massas adicionadas foram:
A = 0,1 g B = 0,5 g C = 2,5 g D = 7,5 g
Com base na solubilidade do sal, a 25°C, que é igual a 7,06 g /100 mL de água, em qual(is) tubo(s) o permanganato de potássio estará totalmente dissolvido, após agitação?
A = 0,1 g B = 0,5 g C = 2,5 g D = 7,5 g
Com base na solubilidade do sal, a 25°C, que é igual a 7,06 g /100 mL de água, em qual(is) tubo(s) o permanganato de potássio estará totalmente dissolvido, após agitação?
Provas
Questão presente nas seguintes provas
- Química CinéticaRepresentação das Transformações Químicas
- Química InorgânicaSoluções e Substâncias InorgânicasSoluções: características, tipos de concentração, diluição, mistura, titulação e soluções coloidais
Para diluir 100 mL de solução de cloreto de níquel 1,8 mol.L-1, de modo que a concentração
diminua para 0,3 mol.L-1, você deverá adicionar:
Provas
Questão presente nas seguintes provas
Um técnico em química realizou uma análise espectrofotométrica utilizando uma solução de
CuSO4. Em qual faixa do espectro visível o técnico em química vai observar o sinal máximo da banda dessa
solução?
Provas
Questão presente nas seguintes provas
- Química CinéticaRepresentação das Transformações Químicas
- Transformações Químicas e EnergiaEletroquímica
O ferro, ao entrar em contato com ambiente atmosférico úmido (reagindo com a água em
estado de vapor e oxigênio gasoso), forma depósitos de ferrugem na superfície metálica:
2Fe(s) + O2(g) + 2H2O → 2Fe(OH)2(s)
Com base nas informações acima, é possível afirmar que:
2Fe(s) + O2(g) + 2H2O → 2Fe(OH)2(s)
Com base nas informações acima, é possível afirmar que:
Provas
Questão presente nas seguintes provas
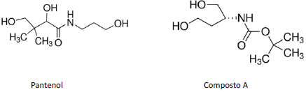
O pantenol nada mais é do que a pró-vitamina B5. A substância é considerada a precursora do
ácido pantotênico, uma vitamina fundamental na manutenção da saúde e vitalidade da pele e dos cabelos.
Por isso, ela vem sendo utilizada na composição das fórmulas de produtos dermo-cosméticos com resultados
muito satisfatórios.
É CORRETO afirmar que o pantenol e o composto A possuem isomeria:
É CORRETO afirmar que o pantenol e o composto A possuem isomeria: Provas
Questão presente nas seguintes provas
Para a reação abaixo, a soma dos menores coeficientes inteiros possíveis após o
balanceamento é:


Provas
Questão presente nas seguintes provas
- FundamentosPropriedades das Substâncias
- FundamentosTransformações: Estados Físicos e Fenômenos
- Química CinéticaTransformações Químicas
- Química OrgânicaFunções Oxigenadas: Cetona, Aldeído, Éter, Éster, Ácido Carboxílico etc.
- Química OrgânicaPropriedades Físicas dos Compostos Orgânicos
A cafeína é encontrada em certas plantas e usada para o consumo em bebidas, na forma de
infusão, como estimulante. Algumas de suas propriedades e a sua estrutura estão apresentadas no quadro a
seguir. Com base nas informações do quadro abaixo, assinale a alternativa INCORRETA:


Provas
Questão presente nas seguintes provas
- FundamentosPropriedades das Substâncias
- Química CinéticaTransformações Químicas
- Química InorgânicaGeometria Molecular, Polaridade e Forças Intermoleculares
As formas de oxidação encontradas para o elemento cromo são:
Cromo (0), Cromo (III) e Cromo (VI).
Assinale a alternativa correspondente aos compostos nos quais o estado de oxidação do cromo seja VI e III, respectivamente:
Cromo (0), Cromo (III) e Cromo (VI).
Assinale a alternativa correspondente aos compostos nos quais o estado de oxidação do cromo seja VI e III, respectivamente:
Provas
Questão presente nas seguintes provas
- Química InorgânicaSoluções e Substâncias InorgânicasSoluções: características, tipos de concentração, diluição, mistura, titulação e soluções coloidais
Qual indicador pode ser utilizado na titulação de precipitação?
Provas
Questão presente nas seguintes provas
- FundamentosLigações Químicas
- FundamentosPropriedades das Substâncias
- Química CinéticaTransformações Químicas
Muitas ligas metálicas são encontradas no nosso cotidiano, por exemplo, em revestimentos de
latas e na fabricação de semicondutores. Índio, estanho e antimônio são bastante utilizados na composição
dessas ligas. Considerando esses elementos e suas propriedades, assinale a alternativa que apresenta a
afirmativa CORRETA:
Provas
Questão presente nas seguintes provas
Cadernos
Caderno Container