Magna Concursos

Foram encontradas 711 questões.

2491094 Ano: 2014
Disciplina: Engenharia Civil
Banca: UFGD
Orgão: UFGD
Provas:

Na construção de um laboratório, está previsto o cronograma físico-financeiro apresentado abaixo:

Enunciado 2955125-1

Ao analisar as informações nele contidas, é correto afirmar que:

 

Provas

Questão presente nas seguintes provas
2491093 Ano: 2014
Disciplina: Engenharia Civil
Banca: UFGD
Orgão: UFGD
Provas:

Para dosagem racional de concreto, o cimento é sempre empregado em massa, quer para o traço em massa ou o traço em volume. Dado o traço: 1: 2,8: 4,8 em massa (cimento: agregado miúdo: agregado graúdo) cuja massa unitária no estado seco do agregado miúdo é 1,4 g/cm³ e a do agregado graúdo é 1,6 g/cm³ . Calcule o traço do referido concreto em volume e assinale a alternativa cujo traço é correto.

 

Provas

Questão presente nas seguintes provas
2491092 Ano: 2014
Disciplina: Segurança e Saúde no Trabalho (SST)
Banca: UFGD
Orgão: UFGD
Provas:

De acordo com a NR 18 – Condições e Meio Ambiente de Trabalho na Indústria da Construção, a instalação sanitária deve ser constituída de lavatório, vaso sanitário e mictório, na proporção de 1 (um) conjunto para cada grupo de:

 

Provas

Questão presente nas seguintes provas
2491091 Ano: 2014
Disciplina: Engenharia Civil
Banca: UFGD
Orgão: UFGD
Provas:

Quanto à função das rodovias, a classificação rodoviária tem por objetivo agrupar rodovias em sistemas e classes, de acordo com o tipo de serviço que as mesmas proporcionam e as funções que exercem. Dentro dessa classificação, pode-se dizer que o nível de complexidade das rodovias aumenta na seguinte ordem:

 

Provas

Questão presente nas seguintes provas
2491090 Ano: 2014
Disciplina: Engenharia Civil
Banca: UFGD
Orgão: UFGD
Provas:

Para efeito de suas propriedades, o concreto deve ser analisado em duas condições distintas: no estado fresco, considerado até o momento em que se dá o início de pega do conjunto, e no estado endurecido, considerado o material obtido pela mistura dos componentes após o fim de pega do sistema. Assinale a alternativa que apresenta as propriedades dos concretos:

 

Provas

Questão presente nas seguintes provas
2491089 Ano: 2014
Disciplina: Engenharia Civil
Banca: UFGD
Orgão: UFGD
Provas:

Segundo a NBR 5626 – Instalação Predial de Água Fria, a tubulação que se origina no reservatório e da qual derivam as colunas de distribuição, quando o tipo de abastecimento é indireto, é denominada por:

 

Provas

Questão presente nas seguintes provas
2491088 Ano: 2014
Disciplina: Engenharia Civil
Banca: UFGD
Orgão: UFGD
Provas:

Considere o projeto abaixo, em que deverá ser executado o emboço interno das paredes cujo pé direito é de 3 metros.

Enunciado 2955119-1

Após a realização da vistoria para elaboração da medição desse serviço, a quantidade de emboço a ser paga à empresa contratada é de:

 

Provas

Questão presente nas seguintes provas
2491087 Ano: 2014
Disciplina: Engenharia Civil
Banca: UFGD
Orgão: UFGD
Provas:

As melhores madeiras para construção são as que provêm de árvores de maior altura, com troncos retos e regulares. Devem apresentar boa homogeneidade, boa resistência mecânica e dureza, sem, contudo, serem muito densas e difíceis de trabalhar. Quando as aplicações são de natureza mecânica, como em certas máquinas, cabos de ferramentas e aplicações semelhantes, as madeiras devem aliar a resistência à compressão, boa resistência ao choque, ou seja, tenacidade. Assinale a alternativa cujo enunciado apresenta as anomalias principais das madeiras.

 

Provas

Questão presente nas seguintes provas
2491086 Ano: 2014
Disciplina: Engenharia Civil
Banca: UFGD
Orgão: UFGD
Provas:

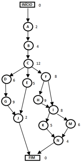
As técnicas denominadas PERT (Program Evaluation and Review Technique) e CPM (Critical Path Method) foram independentemente desenvolvidas para o Planejamento e Controle de Projetos em torno de 1950, sendo utilizado nos projetos de construção civil. Um exemplo clássico de aplicação de PERT/CPM é o planejamento e o gerenciamento da construção civil. O gráfico abaixo representa as fases de execução de um projeto dado em semanas. O caminho crítico da rede abaixo é:

Enunciado 2955117-1

 

Provas

Questão presente nas seguintes provas
2491085 Ano: 2014
Disciplina: Engenharia Civil
Banca: UFGD
Orgão: UFGD
Provas:

Você é o engenheiro responsável pelo acompanhamento das obras de concreto no câmpus da Universidade Federal da Grande Dourados e detectou falha no concreto através de segregação em uma viga/pilar/laje/parede e optou por fazer a correção através de graute de base cimento. Leia as alternativas e assinale a incorreta:

 

Provas

Questão presente nas seguintes provas