Magna Concursos

Foram encontradas 1.248 questões.

2729805 Ano: 2023
Disciplina: TI - Desenvolvimento de Sistemas
Banca: UFF
Orgão: UFF
Provas:

São instrumentos gráficos ou instrumentos narrativos utilizados para entendimento do algoritmo da lógica de programação:

 

Provas

Questão presente nas seguintes provas
2729804 Ano: 2023
Disciplina: TI - Desenvolvimento de Sistemas
Banca: UFF
Orgão: UFF
Provas:

Dos métodos de pesquisa e ordenação seguintes, aqueles que necessitam de que o vetor esteja previamente ordenado são:

 

Provas

Questão presente nas seguintes provas
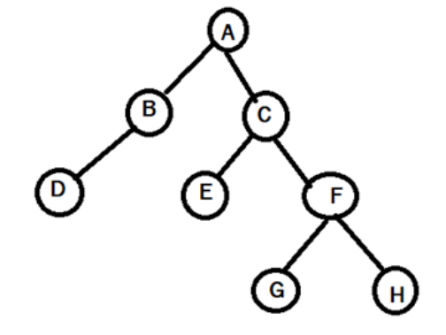
2729803 Ano: 2023
Disciplina: TI - Desenvolvimento de Sistemas
Banca: UFF
Orgão: UFF
Provas:

Observe a seguinte figura.

Enunciado 2729803-1

A altura e o grau da árvore representada são, respectivamente:

 

Provas

Questão presente nas seguintes provas
2729802 Ano: 2023
Disciplina: TI - Desenvolvimento de Sistemas
Banca: UFF
Orgão: UFF
Provas:

Na UML 2.0, são componentes do diagrama de sequência, EXCETO:

 

Provas

Questão presente nas seguintes provas
2729801 Ano: 2023
Disciplina: TI - Desenvolvimento de Sistemas
Banca: UFF
Orgão: UFF
Provas:

Na linguagem PHP existe um comando utilizado dentro dos blocos de repetição que ignora o restante das instruções pertencentes ao laço corrente e vai para a próxima iteração iniciando novamente o laço. Este comando é conhecido como:

 

Provas

Questão presente nas seguintes provas
2729800 Ano: 2023
Disciplina: TI - Desenvolvimento de Sistemas
Banca: UFF
Orgão: UFF
Provas:

Observe a seguinte figura que representa uma classe carro em um diagrama de classes da UML 2.0.

Carro

# situação

+ mover ( )

Os símbolos “#” e “+” na classe carro representam, respectivamente:

 

Provas

Questão presente nas seguintes provas
2729799 Ano: 2023
Disciplina: Informática
Banca: UFF
Orgão: UFF
Provas:

Você deseja encontrar um documento pdf em uma busca no Google®. O documento tem escrito exatamente as palavras teste com impacto e encontra-se disponibilizado no site www.exemplo.br. Neste caso, a forma mais eficaz de fazer a sua busca no Google® pelo documento é digitando:

 

Provas

Questão presente nas seguintes provas
2729798 Ano: 2023
Disciplina: TI - Sistemas Operacionais
Banca: UFF
Orgão: UFF
Provas:

Dos nomes de arquivos e pastas seguintes, identifique aquele que é um nome permitido no sistema operacional Windows:

 

Provas

Questão presente nas seguintes provas
2729797 Ano: 2023
Disciplina: Informática
Banca: UFF
Orgão: UFF
Provas:

Os sistemas operacionais proprietários e as linguagens de programação são exemplos típicos de:

 

Provas

Questão presente nas seguintes provas
2729796 Ano: 2023
Disciplina: TI - Organização e Arquitetura dos Computadores
Banca: UFF
Orgão: UFF
Provas:

As memórias de nível L1, de nível L2 e de nível L3 são tipicamente memórias:

 

Provas

Questão presente nas seguintes provas