Foram encontradas 1.517 questões.
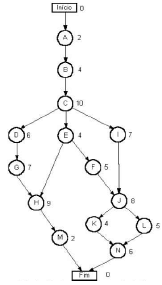
O diagrama mostrado na figura a seguir faz parte da aplicação do método CPM.

Disponível em: <http://www.ufrrj.br/codep/materialcursos/gerenciamento/gerenciamentotempo/ CGP-GT_PERT_CPM_FernandoNogueira.pdf>. (Adaptado).
Esse método é usado em
Provas
Questão presente nas seguintes provas
Um pilar com seção transversal 0,20 m x 0,50 m está submetido
a uma solicitação normal cuja resultante de 100,0
kN localiza-se no eixo de menor inércia, a 0,20 m do centroide
da seção. Qual é o valor da tensão normal, em MPa,
nesse centroide?
Provas
Questão presente nas seguintes provas
Considere uma viga de concreto armado com seção transversal
retangular de 12 cm x 55 cm confeccionada com um
concreto com resistência característica à compressão (fck)
de 20 MPa. Sabe-se que a distância do centro de gravidade
da armadura de flexão à face mais tracionada da viga vale 7
cm, que a seção mais solicitada da viga está submetida a
um momento fletor, com valor de cálculo igual a 102 kNm, e
que ela está armada com aço CA-50 (fyk = 500 MPa). Com
base nestas informações, calcula-se que a área de aço de
flexão na seção mais solicitada da viga, dimensionada no
Estado Limite Último especificado pela norma ABNT NBR
6118:2007, é igual a
Provas
Questão presente nas seguintes provas
- Estruturas
- Resistência dos Materiais e Análise EstruturalEstruturas de Concreto
- Normas e Legislações
A norma ABNT NBR 9062:2006 – Projeto e execução de
estruturas de concreto pré-moldado – estabelece tolerâncias
para a montagem de estruturas pré-moldadas de concreto.
Segundo essa norma, a tolerância em relação à verticalidade
para a montagem de um pilar pré-moldado de
concreto com 15 m de altura é de
Provas
Questão presente nas seguintes provas
Em alvenarias estruturais de blocos de concreto podem
ocorrer várias anomalias durante a sua vida útil. O depósito
salino, principalmente de sais de metais alcalinos (sódio e
potássio) e alcalinos-terrosos (cálcio e magnésio), na superfície
das alvenarias, provenientes da migração de sais solúveis, recebe o nome de
Provas
Questão presente nas seguintes provas
Uma determinada amostra de solo, com índice de vazios
igual a 1,30, foi colocada em um recipiente cilíndrico, resultando
em uma altura inicial de 10 cm. Depois de submetida
a um ensaio de adensamento, a altura dessa amostra de
solo foi reduzida para 8,05 cm. Com base nessas informações, calcula-se que o índice de vazios final da amostra de
solo, após o ensaio de adensamento, valha
Provas
Questão presente nas seguintes provas
Em um ponto de sólido submetido a um estado plano de
deformação, a tensão normal média é igual a 5,0 MPa e a
tensão principal mínima é igual a -20 MPa. A tensão cisalhante
máxima, em MPa, é:
Provas
Questão presente nas seguintes provas
Um concreto de alto desempenho é feito em uma usina de
concreto, usando-se 450 kg de cimento Portland, 72,5 kg
de cinza volante e 40 kg de sílica ativa, que são adicionados
separadamente na betoneira. Qual é o teor de material
cimentício suplementar desse concreto?
Provas
Questão presente nas seguintes provas
Em uma dosagem, foi especificada a adição de 4,8 litros
de um superplastificante para a produção de um metro cúbico de um determinado concreto. Sabendo-se que esse
aditivo possui uma massa específica de 1,21 g/cm3
e um
teor de sólidos de 40%, a quantidade de água adicionada
à mistura pelo aditivo é igual a:
Provas
Questão presente nas seguintes provas
A norma ABNT NBR 7212:2012 estabelece uma metodologia
para controle do processo de dosagem das centrais de
concreto, que tem por objetivo avaliar o desempenho de
suas atividades produtivas e estabelecer o desvio padrão
da central. Caso se deseje avaliar o desempenho da central,
em operação contínua, para diversas famílias de concreto
e suas classes de resistência, o número mínimo de
exemplares e a frequência de amostragem devem ser
iguais, respectivamente, a
Provas
Questão presente nas seguintes provas
Cadernos
Caderno Container