Foram encontradas 425 questões.
De acordo com as definições de correção
de fator de potência, assinale a alternativa
correta.
Provas
Questão presente nas seguintes provas
No que concerne aos tipos de arranjos de barramentos utilizados em subestações, relacione
as colunas e assinale a alternativa com a sequência correta.
V. Por não haver referência de potencial nesse arranjo, são necessários equipamentos em todos os circuitos, para sincronização, linha viva ou indicação de tensão. W. São necessárias 4 (quatro) chaves para cada circuito, em tal arranjo. X. Em tal arranjo, cada circuito possui dois disjuntores dedicados. Além disso, se os circuitos não estiverem conectados nas duas barras, em caso de uma falha no disjuntor, será perdida metade dos circuitos. Y. Trata-se de um arranjo equivalente ao Barramento Duplo, Disjuntor Duplo, com uma importante simplificação que mantém quase a mesma confiabilidade e flexibilidade operacional que aquele arranjo. Z. Nesse arranjo, somente serão desligados os consumidores ligados à seção afetada, caso haja uma falha na barra. Além disso, tal arranjo possui um disjuntor de barra.
1. Duplo Barramento Simples. 2. Barramento em Anel. 3. Barramento Simples seccionado. 4. Barramento Duplo, um Disjuntor. 5. Barramento Duplo com Disjuntor e Meio.
V. Por não haver referência de potencial nesse arranjo, são necessários equipamentos em todos os circuitos, para sincronização, linha viva ou indicação de tensão. W. São necessárias 4 (quatro) chaves para cada circuito, em tal arranjo. X. Em tal arranjo, cada circuito possui dois disjuntores dedicados. Além disso, se os circuitos não estiverem conectados nas duas barras, em caso de uma falha no disjuntor, será perdida metade dos circuitos. Y. Trata-se de um arranjo equivalente ao Barramento Duplo, Disjuntor Duplo, com uma importante simplificação que mantém quase a mesma confiabilidade e flexibilidade operacional que aquele arranjo. Z. Nesse arranjo, somente serão desligados os consumidores ligados à seção afetada, caso haja uma falha na barra. Além disso, tal arranjo possui um disjuntor de barra.
1. Duplo Barramento Simples. 2. Barramento em Anel. 3. Barramento Simples seccionado. 4. Barramento Duplo, um Disjuntor. 5. Barramento Duplo com Disjuntor e Meio.
Provas
Questão presente nas seguintes provas
Sobre fontes chaveadas, assinale a
alternativa correta.
Provas
Questão presente nas seguintes provas
De acordo com as definições de instalações
elétricas prediais e aterramento elétrico,
assinale a alternativa correta.
Provas
Questão presente nas seguintes provas
De acordo com as definições de princípios de conversão eletromecânica de energia, assinale
a alternativa correta.
Provas
Questão presente nas seguintes provas
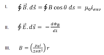
Dadas as equações a seguir, assinale a alternativa correta.

Provas
Questão presente nas seguintes provas
Considere três correntes trifásicas balanceadas fluindo através de enrolamentos trifásicos de uma máquina de indução. Sendo as correntes das fases a, b e c dadas por:
![]()
é correto afirmar que as ondas de forças magnetomotrizes (FMMs) distribuídas no entreferro e ilustradas na Figura 1, as quais são geradas por tais correntes, correspondem

Provas
Questão presente nas seguintes provas
Foi solicitada à equipe de engenheiros do Tribunal Regional do Trabalho da 1ª Região a
análise de um projeto elétrico de um determinado setor, através do diagrama unifilar ilustrado
a seguir. Nesse contexto e seguindo-se rigorosamente a sequência numérica crescente,
conforme indicada pelos trechos dos eletrodutos da figura a seguir, é correto afirmar que


Provas
Questão presente nas seguintes provas
Suponha que o quadro a seguir ilustre a curva de demanda do Tribunal Regional do Trabalho
da 1ª Região, ao longo de um dia. Caso o fator de demanda seja de oitenta por cento, é
correto afirmar que o fator de carga e a potência instalada serão dados, respectivamente, por


Provas
Questão presente nas seguintes provas
Foi solicitado aos engenheiros do Tribunal Regional do Trabalho da 1ª Região a substituição
da iluminação fluorescente existente pela iluminação de LED. Sendo a eficiência luminosa
da lâmpada de LED (21 W) igual a 72 lm/W e, lançando-se mão da sua curva de distribuição
luminosa, ilustrada na figura a seguir, o valor da luminância, em nits, sobre uma superfície de
10 m2
, considerando-se uma intensidade luminosa a 40 graus, será aproximadamente igual a


Provas
Questão presente nas seguintes provas
Cadernos
Caderno Container