Foram encontradas 210 questões.
Disciplina: TI - Organização e Arquitetura dos Computadores
Banca: CESPE / CEBRASPE
Orgão: TRE-AP
01 11 02 02 02 02 02 02 02 03 04 05 05 05 05 05 05 01
Considere a seqüência de dados acima. Com relação à otimização de arquivos, aritmética computacional e repetição de valores para compactação de dados, considere, ainda, que o caractere especial seja aa. Nesse caso, a seqüência compactada pode ser corretamente expressa como
Provas
Disciplina: TI - Organização e Arquitetura dos Computadores
Banca: CESPE / CEBRASPE
Orgão: TRE-AP

A figura acima apresenta um diagrama da arquitetura de um sistema operacional, embasado no Linux, de tempo real. Elementos específicos da arquitetura são numerados de #1 a #11.
Ainda considerando as informações do texto, julgue os itens que se seguem.
I O fluxo de interrupções de hardware ocorre com maior intensidade na direção do elemento #10 para o #2.
II O modelo de interface gráfica x11 possui o mesmo conjunto de controles de GUI que a API Win32.
III Os elementos #7 e #8 são gerenciados com maior intensidade por políticas de escalonamento preemptivo, em detrimento de políticas de escalonamento não-preemptivo.
IV A portabilidade do elemento #6 deve-se mais à sua dependência do elemento #3 que à do elemento #5.
A quantidade de itens certos é igual a
Provas

Internet: <www.csweb.cs.bgsu.edu>.
Considerando a figura acima, que apresenta uma proposta de modelo para desenvolvimento de aplicações, assinale a opção incorreta acerca dos conceitos de engenharia de software.
Provas
Figura para a questão

Provas
Código para a questão
1 class LinkEntry {
2 private Object element;
3 private LinkEntry link;
4 publica LinkEntry (Object element, LinkEntry link) {
5 this.element = element; this.link = link;
6 }
7 public Object getElement () { return element; }
8 public LinkEntry getLink () { return link; }
9 public void setlink (LinkEntry newLink) { link = newLink; }
10 }
11 class Stack {
12 private LinkEntry top;
13 public Stack () { top = null; }
14 public void push (Object element) {
15 LinkEntry entry = new LinkEntry (element, top);
16 top = entry;
17 }
18 public Object pop () {
19 LinkEntry entry = top;
20 top = top.getLink ();
21 return entry.getElement ();
22 }
23 public Object peek () { return top.getElement (); }
24 public boolean empty () { return top == null; }
25 public boolean full () {
26 LinkEntry entry = new LinkEntry (null, null);
27 return entry == null;
28 }
29 }
30 public class StackTest {
31 public static void main (String args []) {
32 Stack list = new Stack ();
33 list.push ("Joao"); list.push ("Maria"); list.push ("José");
34 while ( ! list,empty ()) {
35 System.out,println ((String) list.pop ());
36 }
37 }
38 }
Entre as características do código apresentado, inclui-se
I o encapsulamento de variáveis de instância.
II o uso de tipos de dados simples e estruturados.
III o emprego de recursividade.
IV o emprego de estruturas não-lineares com encadeamento simples de memória.
V a declaração de três classes com visibilidade pública.
Estão certos apenas os itens
Provas
Figura para a questão

Provas
Código para a questão
1 class LinkEntry {
2 private Object element;
3 private LinkEntry link;
4 publica LinkEntry (Object element, LinkEntry link) {
5 this.element = element; this.link = link;
6 }
7 public Object getElement () { return element; }
8 public LinkEntry getLink () { return link; }
9 public void setlink (LinkEntry newLink) { link = newLink; }
10 }
11 class Stack {
12 private LinkEntry top;
13 public Stack () { top = null; }
14 public void push (Object element) {
15 LinkEntry entry = new LinkEntry (element, top);
16 top = entry;
17 }
18 public Object pop () {
19 LinkEntry entry = top;
20 top = top.getLink ();
21 return entry.getElement ();
22 }
23 public Object peek () { return top.getElement (); }
24 public boolean empty () { return top == null; }
25 public boolean full () {
26 LinkEntry entry = new LinkEntry (null, null);
27 return entry == null;
28 }
29 }
30 public class StackTest {
31 public static void main (String args []) {
32 Stack list = new Stack ();
33 list.push ("Joao"); list.push ("Maria"); list.push ("José");
34 while ( ! list,empty ()) {
35 System.out,println ((String) list.pop ());
36 }
37 }
38 }
Considerando a unidade de compilação Java apresentada, adaptada de Barnes e Kölling, julgue os itens a seguir acerca das ações que ocorrerão durante a execução do método main da classe StackTest.
I Serão criadas três instâncias da classe LinkEntry, uma instância da classe Stack e uma instância da classe StackTest.
II A variável top da instância de Stack apontada pela variável list do método main da classe StackTest conterá o valor null, imediatamente antes do final da execução do referido método main.
III Os métodos full e peek não serão executados.
IV Os nomes “Joao”, “Maria” e “José” serão impressos no console, nessa ordem.
V Para cada instância de LinkEntry criada, existe uma instância correspondente da classe String.
Estão certos apenas os itens
Provas
- Fundamentos de ProgramaçãoFunções, Métodos e Procedimentos
- Fundamentos de ProgramaçãoLógica de Programação
- Fundamentos de ProgramaçãoVariáveisEscopo de Variáveis
begin
int a;
procedure incr(a);
int a;
begin
a:=a+1;
end;
a:=0;
begin
integer b;
procedure decr(a);
int a;
begin
a:=a-1;
end;
b:=x;
decr(b);
decr(a);
end;
incr(a);
end.
A quantidade de blocos existentes no trecho de código acima apresentado é igual a
Provas
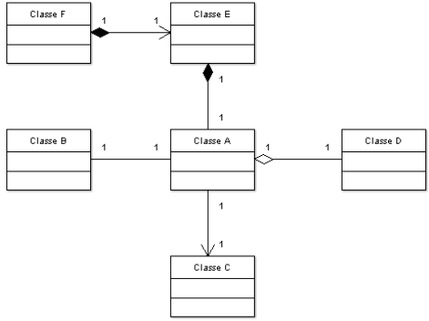
Figura para a questão

Na figura apresentada, que ilustra um diagrama de classes, o tipo de relacionamento existente entre a classe “A” e a classe “E” é denominado
Provas

Internet: <www.jude.users.com> (com adaptações).
Considerando a figura acima, que apresenta um diagrama de relacionamento entre os padrões de projeto descritos no livro GoF Book, julgue os próximos itens acerca dos conceitos de programação orientada a objetos e padrões de projetos orientados a objetos.
I A implementação de padrões de projeto criacionais em linguagens como C#, Delphi e Java sempre envolverá a alocação de memória para a criação de objetos.
II A implementação de montadores de árvores sintáticas apóia-se mais no uso do padrão Singleton que no uso do padrão Composite.
III A implementação de tratadores de eventos de interface gráfica apóia-se mais no uso do padrão Observer que no uso do padrão Visitor.
IV A implementação de famílias portáveis de componentes de interface gráfica depende mais do emprego do padrão Chain of Responsibility que do padrão AbstractFactory.
V O padrão TemplateMethod é mais simples que o padrão Memento.
Estão certos apenas os itens
Provas
Caderno Container