Foram encontradas 70 questões.
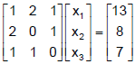
Considere o seguinte sistema de equações lineares:

O valor da variável x2 é:
Provas
Uma sequência x(n) discreta e causal, que significa dizer que x(n) = 0 para n < 0, tem como transformada Z a expressão: X(z) = 7z2 - 11z/ z2 - 4z + 3 .
A expressão mais simples, em função do degrau unitário u(n), que melhor exprime analiticamente essa sequência é:
Provas
Um sistema foi modelado pelas seguintes equações de estado:

A função de transferência G(z) =
que corresponde a
esse modelo é:
Provas
Dessa forma, em malha fechada, as novas posições dos polos no plano s serão:
Provas
Um sistema linear de 2a ordem é modelado em função de transferência por uma planta do tipo G(s) = K N(s)/ D(s) , em que N(s)é o polinômio do numerador, e D(s) é o polinômio do denominador.
Quando esse sistema é submetido a uma realimentação proporcional de saída, e o ganho K varia de 0 a + ∞ , os polos se movimentam no plano complexo, formando trajetórias que se caracterizam como o lugar das raízes, mostrado na Figura a seguir.

Com base nos dados da Figura acima, a expressão da Função de Transferência de Malha Fechada em função do ganho K é
Provas
Sabe-se que uma determinada transformação linear T: R3 → R3
transforma o vetor v1 =
no vetor u1 =
e também
transforma o vetor v2 =
no vetor u2 =
.
Dessa forma, conclui-se que essa mesma transformação linear irá transformar o vetor v3 =
no vetor:
Provas
- Conversores Analógicos Digitais (AD) e Digitais Analógicos (DAC)
- Eletrônica Digital na Engenharia Eletrônica
Um sinal de tensão elétrica, variando continuamente no tempo, tem sua amplitude limitada entre -5V e +5V para possibilitar a sua digitalização através de um conversor Analógico/Digital (A/D) operando com 8 bits.
Essa conversão, nas condições apresentadas acima, vai acarretar um erro na quantização da amplitude da tensão, medido em mV, de aproximadamente
Provas
Nesse sentido, o circuito equivalente ao apresentado acima que produz a mesma corrente de polarização no transistor Q1 será:
Provas
Na Figura também é mostrada a evolução no tempo dos sinais de comando X1 e X2.
Considerando-se que o tanque de armazenamento inicia a sua operação em t = 0 completamente vazio, qual será o volume, em litros, de óleo diesel armazenado nesse mesmo tanque no instante t = 10 min?
Provas
Provas
Caderno Container