Foram encontradas 70 questões.
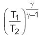
Um mol de um gás ideal com capacidades caloríficas
constantes (Cp
e Cv
) sofre uma expansão isentrópica de
um estado inicial a uma temperatura T1
e uma pressão
P1
a um estado final, a uma temperatura T2
e uma pressão P2
. Se a razão
for igual a ϒ, então, a razão P1/P2 será igual a
Provas
Questão presente nas seguintes provas

Uma mistura formada pelos componentes A e B se encontra à pressão de 120 kPa. No aquecimento dessa mistura, na pressão especificada, é formada a primeira bolha na temperatura de 100 °C. Dadas as respectivas curvas da pressão de vapor dos componentes A e B, presentes na figura acima, a composição aproximada da fase líquida e a da fase vapor em relação ao componente A, na temperatura de 100 °C, são, respectivamente,
Provas
Questão presente nas seguintes provas

Considere que 1.000 kg/h de uma solução com 35% (massa) de ácido acético e 65% (massa) de água é alimentada a uma coluna de extração que opera em contracorrente. Para extrair o ácido acético, são usados 1.335 kg/h de éter isopropílico. É necessário que o produto rafinado contenha apenas 10% (massa) de ácido acético.
Utilizando o gráfico da figura acima, conclui-se que a composição mássica de éter isopropílico da corrente extrato é, aproximadamente,
Provas
Questão presente nas seguintes provas
Uma solução é constituída por três substâncias, A, B e C. A tabela abaixo mostra as concentrações de A, B e C na solução, bem como suas respectivas massas molares.

A fração molar do componente A na mistura é, aproximadamente,

A fração molar do componente A na mistura é, aproximadamente,
Provas
Questão presente nas seguintes provas
Considere o enunciado a seguir para responder às questões de nos 44 e 45.
No processo químico representado na figura abaixo, o
efluente do reator R é dirigido ao separador S, do qual
sai uma corrente com todo o A e todo o I presentes
nesse efluente. Na alimentação do reator, a vazão de A
é de 125 kmol/h.

O processo químico apresentado recebe uma alimentação constituída de 100 kmol/h de um reagente A e uma certa quantidade de substância inerte I. Da corrente com todo o A e todo o I que sai de S, 50% são reciclados para a entrada do reator. Os outros 50% são purgados para evitar o acúmulo do inerte I no processo. A conversão por passe é 60%. No processo químico representado na figura abaixo, o
efluente do reator R é dirigido ao separador S, do qual
sai uma corrente com todo o A e todo o I presentes
nesse efluente. Na alimentação do reator, a vazão de A
é de 125 kmol/h.

Dessas informações, depreende-se que a conversão global de A seja
Provas
Questão presente nas seguintes provas
A energia sob a forma de calor pode ser transferida pelos mecanismos de condução, de convecção e de radiação.
Sobre essas formas de transferência de energia, analise as afirmativas a seguir.
I - A condução é um mecanismo de transferência de calor que ocorre em escala macroscópica, devido ao movimento global de um fluido.
II - A convecção é o mecanismo de transferência de calor existente entre uma superfície sólida e um fluido que precisa estar em movimento.
III - A radiação térmica é o mecanismo de transferência de calor que está relacionado à radiação eletromagnética e que é propagada como resultado de uma diferença de temperatura.
IV - A troca de calor radiante entre duas superfícies é proporcional à diferença de temperatura elevada à quarta potência, ou seja, calor1-2 ~ (T1 - T2)4.
V - Chamando de T a taxa de transferência de calor por convecção, de A a área de troca térmica e de D o módulo da diferença de temperatura entre uma superfície sólida e um fluido, o coeficiente de transferência de calor fica definido como a razão
.
Está correto APENAS o que se afirma em
Sobre essas formas de transferência de energia, analise as afirmativas a seguir.
I - A condução é um mecanismo de transferência de calor que ocorre em escala macroscópica, devido ao movimento global de um fluido.
II - A convecção é o mecanismo de transferência de calor existente entre uma superfície sólida e um fluido que precisa estar em movimento.
III - A radiação térmica é o mecanismo de transferência de calor que está relacionado à radiação eletromagnética e que é propagada como resultado de uma diferença de temperatura.
IV - A troca de calor radiante entre duas superfícies é proporcional à diferença de temperatura elevada à quarta potência, ou seja, calor1-2 ~ (T1 - T2)4.
V - Chamando de T a taxa de transferência de calor por convecção, de A a área de troca térmica e de D o módulo da diferença de temperatura entre uma superfície sólida e um fluido, o coeficiente de transferência de calor fica definido como a razão
.Está correto APENAS o que se afirma em
Provas
Questão presente nas seguintes provas
Sendo Gc a função de transferência do controlador, Gf, da válvula, Gp, do processo, e Gm, do elemento de medida, considere que um dado sistema apresenta função de transferência em malha aberta
. Admita que KcK > 0 e den(s) é um polinômio em s de grau 3, com três raízes reais, distintas e negativas. Para esse sistema em malha aberta, há um único valor de frequência crítica ωc (para a qual o ângulo de fase vale -π rad). Sabe-se também que a razão de amplitudes de GMA na frequência ωc vale 0,5.
Em consequência, em malha fechada, o sistema será
. Admita que KcK > 0 e den(s) é um polinômio em s de grau 3, com três raízes reais, distintas e negativas. Para esse sistema em malha aberta, há um único valor de frequência crítica ωc (para a qual o ângulo de fase vale -π rad). Sabe-se também que a razão de amplitudes de GMA na frequência ωc vale 0,5. Em consequência, em malha fechada, o sistema será
Provas
Questão presente nas seguintes provas
É conhecida a seguinte função de transferência em malha aberta (MA):
, tal que Gc denota a função de transferência do controlador, Gf, da válvula, Gp, do processo e Gm, do elemento de medida. O maior valor de ganho do controlador (Kc) para o qual o sistema não oscila em malha fechada, quando perturbado por degrau no set point, é
, tal que Gc denota a função de transferência do controlador, Gf, da válvula, Gp, do processo e Gm, do elemento de medida. O maior valor de ganho do controlador (Kc) para o qual o sistema não oscila em malha fechada, quando perturbado por degrau no set point, éProvas
Questão presente nas seguintes provas
Dois sistemas apresentam as seguintes funções de transferência
, com constantes de tempo e tempo morto em segundos. Comparando, na frequência ? = 0,1 rad/s, os valores de razão de amplitudes (RA1 e RA2, , para os sistemas 1 e 2, respectivamente) e os valores absolutos dos ângulos de fase (|Φ1| e |Φ2|, para os sistemas 1 e 2, respectivamente) dos respectivos Diagramas de Bode, resulta:
, com constantes de tempo e tempo morto em segundos. Comparando, na frequência ? = 0,1 rad/s, os valores de razão de amplitudes (RA1 e RA2, , para os sistemas 1 e 2, respectivamente) e os valores absolutos dos ângulos de fase (|Φ1| e |Φ2|, para os sistemas 1 e 2, respectivamente) dos respectivos Diagramas de Bode, resulta:Provas
Questão presente nas seguintes provas
Água está sendo bombeada através de uma tubulação.
A curva característica da bomba e a curva do sistema são representadas pelas equações H = - Q2 + 2Q + 8 e WB = Q2 + 2Q, respectivamente, onde H é a carga, em metros, fornecida ao líquido pela bomba, WB é a carga, em metros, requerida pelo sistema, e Q é a vazão de operação, em m3 /s.
A vazão de operação, em m3 /s, é
A curva característica da bomba e a curva do sistema são representadas pelas equações H = - Q2 + 2Q + 8 e WB = Q2 + 2Q, respectivamente, onde H é a carga, em metros, fornecida ao líquido pela bomba, WB é a carga, em metros, requerida pelo sistema, e Q é a vazão de operação, em m3 /s.
A vazão de operação, em m3 /s, é
Provas
Questão presente nas seguintes provas
Cadernos
Caderno Container