Foram encontradas 1.129 questões.
Acerca do projeto de instalações elétricas de baixa tensão, assinale a alternativa correta.
Provas
- Instalações ElétricasSubestaçõesEquipamentos de manobra de alta tensão
- Proteção de Sistemas Elétricos
Acerca dos dispositivos de manobra e proteção, assinale a alternativa correta.
Provas

Assinale a alternativa que apresenta corretamente a melhor distribuição de cargas nessa instalação, que dispõe das fases F1, F2 e F3, além do neutro.
Provas

Provas

Provas
- Circuitos ElétricosCircuitos Resistivos, RL e RC, e RLC
- Circuitos ElétricosPotência: Instantânea, Ativa, Reativa, Aparente e Complexa
Uma carga elétrica consome 100 [W] quando alimentada por uma fonte de tensão, em corrente alternada, de 100 [V]. Dado que o fator de potência da carga é unitário, assinale a alternativa que apresenta correta e respectivamente o valor da corrente consumida pela carga, quando alimentada por uma fonte de tensão de 100 [V], em série com uma resistência de 1 [Ω], considerando que a carga pode ser modelada por potência constante, impedância constante e corrente constante. Para tanto, utilize precisão de duas casas após a vírgula.
Provas
- Sistemas Elétricos de PotênciaAnálise de SEPFluxo de Potência, Estabilidade e Regulação
- Sistemas Elétricos de PotênciaSistema Elétrico Brasileiro
Acerca do controle de fluxo de potência e de tensão nas barras, assinale a alternativa correta.
Provas
- Circuitos ElétricosCircuitos CACircuitos Trifásicos
- Sistemas Elétricos de PotênciaRepresentação em valores por unidade (p.u.)
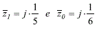
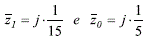
A barra de entrada do sistema elétrico de uma indústria possui potência de curto-circuito trifásico de j · 10 [p.u.] e potência de curto-circuito fase-terra de j · 9 [p.u.]. Assinale a alternativa que apresenta corretamente o valor das impedâncias de sequência positiva e de sequência zero, em valores por unidade, nessa barra.
Provas

Provas
- Transformadores e Máquinas Elétricas
- Sistemas Elétricos de PotênciaTransmissãoAntenas e Linhas de Transmissão
Um transformador monofásico, cuja potência nominal é 50 [MVA], possui relação de transformação 230/34,5 [kV], reatância de curto-circuito de 2 [%] e comutador de derivação no enrolamento de baixa tensão, que pode ser considerado ideal. O primário desse transformador está conectado a uma fonte de tensão ideal de 230 [kV] e o secundário está conectado a uma linha de transmissão cuja impedância é 0,03 + j · 0,02 [p.u.] na base 34,5 [kV] e 50 [MVA]. Essa linha está conectada a uma carga indutiva cuja impedância é constante, e que consome 25 [MVA] e 20 [MW] quando alimentada com uma tensão de 31,05 [kV]. Assinale a alternativa que apresenta o melhor ajuste da derivação para que a tensão na carga seja o mais próximo de 34,5 [kV].
Provas
Caderno Container