Foram encontradas 968 questões.

Os gráficos acima representam dois sistemas de controle A e B, onde se pode observar, em cada uma delas, uma variável a ser controlada e outra controladora. A respeito desses gráficos, assinale a afirmativa correta.
Provas
Questão presente nas seguintes provas
Na figura a seguir é apresentado um circuito magnético, com relutância magnética do núcleo de 0,2 x 107 e/Wb, composto de uma bobina com 200 espiras percorridas por uma corrente de 400 mA.

Sabendo-se que o comprimento médio do circuito magnético é igual a 0,20 m e que a área da seção transversal do núcleo de 4 cm² , a densidade de fluxo magnético no núcleo, em Tesla, é igual a

Sabendo-se que o comprimento médio do circuito magnético é igual a 0,20 m e que a área da seção transversal do núcleo de 4 cm² , a densidade de fluxo magnético no núcleo, em Tesla, é igual a
Provas
Questão presente nas seguintes provas
Analise o esquema a seguir.

Com relação ao esquema acima, referente ao acionamento de um motor, analise as afirmativas a seguir.
I. A botoeira NA possui a função de ligar e desligar o motor.
II. A chave S é necessária para manter o motor alimentado.
III. A botoeira NA possui a função de selar a conexão realizada pela chave NA.
Assinale:

Com relação ao esquema acima, referente ao acionamento de um motor, analise as afirmativas a seguir.
I. A botoeira NA possui a função de ligar e desligar o motor.
II. A chave S é necessária para manter o motor alimentado.
III. A botoeira NA possui a função de selar a conexão realizada pela chave NA.
Assinale:
Provas
Questão presente nas seguintes provas
A figura a seguir apresenta o esquema de um gerador trifásico na configuração estrela, com duas de suas fases em curto e uma aberta.

Sabendo-se que:
: tensão de sequência positiva na falta.
: impedâncias nas sequências zero, positiva e negativa.
A expressão que determina a corrente de falta na sequência positiva dessa falta é:

Sabendo-se que:
: tensão de sequência positiva na falta.
: impedâncias nas sequências zero, positiva e negativa. A expressão que determina a corrente de falta na sequência positiva dessa falta é:
Provas
Questão presente nas seguintes provas
A figura a seguir apresenta uma planta baixa da sala de uma casa, onde o circuito que alimenta a iluminação dessa sala chega a uma das luminárias.

Para que as duas luminárias possam ser comandadas por meio de dois interruptores three-way e sabendo-se que a fase é conectada ao interruptor W1, é necessário que nos trecho B da linha, passem os condutores:

Para que as duas luminárias possam ser comandadas por meio de dois interruptores three-way e sabendo-se que a fase é conectada ao interruptor W1, é necessário que nos trecho B da linha, passem os condutores:
Provas
Questão presente nas seguintes provas
Analise o equivalente de Thèvenin a seguir.

Visto entre os pontos A e D e tendo o resistor de 10O entre esses pontos como sendo a carga a ser alimentada por esse equivalente, é composto, respectivamente, por uma fonte e um resistor de

Visto entre os pontos A e D e tendo o resistor de 10O entre esses pontos como sendo a carga a ser alimentada por esse equivalente, é composto, respectivamente, por uma fonte e um resistor de
Provas
Questão presente nas seguintes provas
O diagrama PERT-CPM a seguir, representa o planejamento de tempo de um projeto.

As setas representam as atividades envolvidas e os números junto às setas indicam o tempo em unidades de tempo (ut) que cada atividade necessita para a sua conclusão.
Para esse projeto terminar em 45 ut, a atividade A deverá ter

As setas representam as atividades envolvidas e os números junto às setas indicam o tempo em unidades de tempo (ut) que cada atividade necessita para a sua conclusão.
Para esse projeto terminar em 45 ut, a atividade A deverá ter
Provas
Questão presente nas seguintes provas
A seguir, é apresentado um sistema trifásico desequilibrado, que tem na sua constituição uma fonte simétrica e uma carga desequilibrada.

Pode-se dizer a respeito desse sistema que

Pode-se dizer a respeito desse sistema que
Provas
Questão presente nas seguintes provas
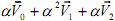
Qualquer sistema trifásico desequilibrado pode ser decomposto por três sistemas trifásicos denominados como componentes simétricos. Nessa teoria, as relações das grandezas fasoriais e seus respectivos componentes simétricos, se dão por meio do operador α (1 ∠ 120°).
Em um dado sistema trifásico, a tensão
, em termos de seus componentes simétricos é igual a
Em um dado sistema trifásico, a tensão
, em termos de seus componentes simétricos é igual aProvas
Questão presente nas seguintes provas

O gráfico acima apresenta o conjugado e a velocidade no acionamento de um motor. No gráfico, o conjugado da carga mecânica no eixo do motor é representado por CR e o conjugado no motor CM.
Analisando esse gráfico, pode-se dizer que o acionamento é
Provas
Questão presente nas seguintes provas
Cadernos
Caderno Container