Foram encontradas 1.028 questões.

Provas
Questão presente nas seguintes provas

Provas
Questão presente nas seguintes provas

Provas
Questão presente nas seguintes provas

Provas
Questão presente nas seguintes provas

Provas
Questão presente nas seguintes provas

Provas
Questão presente nas seguintes provas

Provas
Questão presente nas seguintes provas
Acerca de codificação e compressão de sinais, julgue os seguintes itens.
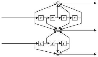
Considere que a figura abaixo represente um codificador convolucional binário, em que z significa um atraso discreto. Nesse caso, o código é não recursivo, não sistemático, com taxa R = 2⁄3 e pode ser decodificado por meio de um decodificador de Viterbi com treliça de 128 estados.
Provas
Questão presente nas seguintes provas
Considerando as legislações profissionais pertinentes ao sistema CONFEA/CREA, julgue os itens subsequentes.
Atividades de vistoria, perícia, avaliação, arbitramento, laudo e parecer técnico referentes a sistemas de comunicação e de telecomunicações são exercidas exclusivamente por engenheiros devidamente habilitados, conforme resolução específica do CONFEA.Provas
Questão presente nas seguintes provas
JJulgue os itens de 59 a 61, relativos a IPV4 e roteamento.
Caso o protocolo de roteamento OSPF esteja habilitado entre dois roteadores ligados por um mesmo link e que aceitam os parâmetros de comunicação do OSPF, esses roteadores passarão a ser vizinhos OSPF (OSPF neighbors).Provas
Questão presente nas seguintes provas
Cadernos
Caderno Container