Foram encontradas 682 questões.
2682439
Ano: 2013
Disciplina: TI - Desenvolvimento de Sistemas
Banca: CESPE / CEBRASPE
Orgão: TCE-RO
Disciplina: TI - Desenvolvimento de Sistemas
Banca: CESPE / CEBRASPE
Orgão: TCE-RO
Provas:
A seguir, é apresentada parte de um arquivo XML de mapeamento (mapping), correspondente às linhas de 21 a 32, cuja numeração não compõe o arquivo.
21. <class name="Pessoa" table="PESSOA">
22. <id name="id" column="ID_PESSOA ">
23. <generator class="native"/>
24. </id>
25. <property name="idade"/>
26. <property name="nome"/>
27. <property name="sobrenome"/>
28. <set name="Eventos" table="Evento_Pessoa">
29. <key column="ID_PESSOA"/>
30. <many-to-many column="ID_EVENTO" class="Evento"/>
31. </set>
32. </class>
22. <id name="id" column="ID_PESSOA ">
23. <generator class="native"/>
24. </id>
25. <property name="idade"/>
26. <property name="nome"/>
27. <property name="sobrenome"/>
28. <set name="Eventos" table="Evento_Pessoa">
29. <key column="ID_PESSOA"/>
30. <many-to-many column="ID_EVENTO" class="Evento"/>
31. </set>
32. </class>
Tendo como referência as informações acima, julgue o item subsequente a respeito do Hibernate 4.2.
Embora seja possível haver, na orientação a objetos, relacionamentos do tipo N:M entre classes, isso não ocorre em bancos de dados relacionais na terceira forma normal (3FN), que é o padrão do mapeamento entre o Hibernate e os bancos de dados relacionais. Desse modo, a sintaxe na linha 30 está incorreta de acordo com os padrões do Hibernate 4.2.
Provas
Questão presente nas seguintes provas
2682438
Ano: 2013
Disciplina: TI - Desenvolvimento de Sistemas
Banca: CESPE / CEBRASPE
Orgão: TCE-RO
Disciplina: TI - Desenvolvimento de Sistemas
Banca: CESPE / CEBRASPE
Orgão: TCE-RO
Provas:
A seguir, é apresentada parte de um arquivo XML de mapeamento (mapping), correspondente às linhas de 21 a 32, cuja numeração não compõe o arquivo.
21. <class name="Pessoa" table="PESSOA">
22. <id name="id" column="ID_PESSOA ">
23. <generator class="native"/>
24. </id>
25. <property name="idade"/>
26. <property name="nome"/>
27. <property name="sobrenome"/>
28. <set name="Eventos" table="Evento_Pessoa">
29. <key column="ID_PESSOA"/>
30. <many-to-many column="ID_EVENTO" class="Evento"/>
31. </set>
32. </class>
22. <id name="id" column="ID_PESSOA ">
23. <generator class="native"/>
24. </id>
25. <property name="idade"/>
26. <property name="nome"/>
27. <property name="sobrenome"/>
28. <set name="Eventos" table="Evento_Pessoa">
29. <key column="ID_PESSOA"/>
30. <many-to-many column="ID_EVENTO" class="Evento"/>
31. </set>
32. </class>
Tendo como referência as informações acima, julgue o item subsequente a respeito do Hibernate 4.2.
Para fazer a correlação entre as classes e banco de dados relacional, o Hibernate utiliza um arquivo XML padronizado para mapear os objetos envolvidos, assim, de acordo com os padrões do Hibernate 4.2, as sintaxes das linhas 21 e 28 estão incorretas.
Provas
Questão presente nas seguintes provas
2682437
Ano: 2013
Disciplina: TI - Desenvolvimento de Sistemas
Banca: CESPE / CEBRASPE
Orgão: TCE-RO
Disciplina: TI - Desenvolvimento de Sistemas
Banca: CESPE / CEBRASPE
Orgão: TCE-RO
Provas:
A seguir, é apresentada parte de um arquivo XML de mapeamento (mapping), correspondente às linhas de 21 a 32, cuja numeração não compõe o arquivo.
21. <class name="Pessoa" table="PESSOA">
22. <id name="id" column="ID_PESSOA ">
23. <generator class="native"/>
24. </id>
25. <property name="idade"/>
26. <property name="nome"/>
27. <property name="sobrenome"/>
28. <set name="Eventos" table="Evento_Pessoa">
29. <key column="ID_PESSOA"/>
30. <many-to-many column="ID_EVENTO" class="Evento"/>
31. </set>
32. </class>
22. <id name="id" column="ID_PESSOA ">
23. <generator class="native"/>
24. </id>
25. <property name="idade"/>
26. <property name="nome"/>
27. <property name="sobrenome"/>
28. <set name="Eventos" table="Evento_Pessoa">
29. <key column="ID_PESSOA"/>
30. <many-to-many column="ID_EVENTO" class="Evento"/>
31. </set>
32. </class>
Tendo como referência as informações acima, julgue o item subsequente a respeito do Hibernate 4.2.
De acordo com os padrões do Hibernate 4.2, nas linhas 25, 26 e 27, o correto seria utilizar attribute em vez de property.
Provas
Questão presente nas seguintes provas

Considerando que, na planilha ilustrada na figura acima, gerada no Excel, as células (B2:B8) representam valores digitados, a célula B9 representa o cálculo por fórmula da média aritmética dos valores digitados e as informações constantes nas células (A2:A8) foram geradas por uma fórmula lógica, julgue o item a seguir.
No Excel, é possível gerar o valor constante na célula B9 pormeio da fórmula =MÉDIA.INTERNA(B2:B8).
Provas
Questão presente nas seguintes provas

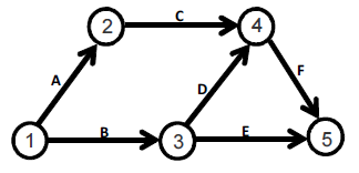
| atividade | duração (dias corridos) |
| A | 5 |
| B | 10 |
| C | 5 |
| D | 5 |
| E | 10 |
| F | 5 |
A figura acima ilustra uma rede PERT/CPM de determinado projeto, cujas atividades são representadas pelas letras de A a F. Com base nessa figura e nos dados da tabela acima apresentados, julgue o próximo item.
A duração desse projeto é de vinte dias.
Provas
Questão presente nas seguintes provas

| atividade | duração (dias corridos) |
| A | 5 |
| B | 10 |
| C | 5 |
| D | 5 |
| E | 10 |
| F | 5 |
A figura acima ilustra uma rede PERT/CPM de determinado projeto, cujas atividades são representadas pelas letras de A a F. Com base nessa figura e nos dados da tabela acima apresentados, julgue o próximo item.
Caso a atividade C atrase um dia, o projeto também atrasará um dia.
Provas
Questão presente nas seguintes provas

| atividade | duração (dias corridos) |
| A | 5 |
| B | 10 |
| C | 5 |
| D | 5 |
| E | 10 |
| F | 5 |
A figura acima ilustra uma rede PERT/CPM de determinado projeto, cujas atividades são representadas pelas letras de A a F. Com base nessa figura e nos dados da tabela acima apresentados, julgue o próximo item.
Há mais de um caminho crítico na rede.
Provas
Questão presente nas seguintes provas
A tabela abaixo apresenta as peças de utilização em um banheiro residencial, seus respectivos pesos e quantidades de pontos. Nesse sentido, considere que a fórmula do cálculo da vazão para dimensionamento de um banheiro residencial seja
, em que Q corresponde à vazão em litros por segundo e P refere-se ao peso de cada peça de utilização.
| peça de utilização | peso (unidade Hunter de contribuição) | quantidade de pontos |
| bacia sanitária | 40 | 1 |
| chuveiro | 0,5 | 1 |
| lavatório | 0,5 | 2 |
Com base nas informações acima apresentadas, julgue o item seguinte.
Para o cálculo da vazão, o método acima apresentado se baseia na probabilidade do uso simultâneo das peças.
Provas
Questão presente nas seguintes provas
A tabela abaixo apresenta as peças de utilização em um banheiro residencial, seus respectivos pesos e quantidades de pontos. Nesse sentido, considere que a fórmula do cálculo da vazão para dimensionamento de um banheiro residencial seja
, em que Q corresponde à vazão em litros por segundo e P refere-se ao peso de cada peça de utilização.
| peça de utilização | peso (unidade Hunter de contribuição) | quantidade de pontos |
| bacia sanitária | 40 | 1 |
| chuveiro | 0,5 | 1 |
| lavatório | 0,5 | 2 |
Com base nas informações acima apresentadas, julgue o item seguinte.
A vazão total do banheiro é obtida pela soma da vazão de cada peça separadamente.
Provas
Questão presente nas seguintes provas
A tabela abaixo apresenta as peças de utilização em um banheiro residencial, seus respectivos pesos e quantidades de pontos. Nesse sentido, considere que a fórmula do cálculo da vazão para dimensionamento de um banheiro residencial seja
, em que Q corresponde à vazão em litros por segundo e P refere-se ao peso de cada peça de utilização.
| peça de utilização | peso (unidade Hunter de contribuição) | quantidade de pontos |
| bacia sanitária | 40 | 1 |
| chuveiro | 0,5 | 1 |
| lavatório | 0,5 | 2 |
Com base nas informações acima apresentadas, julgue o item seguinte.
O número 0,30 da fórmula de cálculo de vazão é denominado coeficiente de descarga.
Provas
Questão presente nas seguintes provas
Cadernos
Caderno Container