Foram encontradas 100 questões.
- TermodinâmicaLeis e Propriedades da Termodinâmica
- TermodinâmicaTransferência de Calor (Condução, Convecção e Radiação)
Com relação à transmissão de calor, julgue o item seguinte.
Suponha-se que determinado fluido esteja escoando através de um tubo de 10 cm de diâmetro interno. Considere-se que o fluido se encontre a uma temperatura de 100 °C, que a temperatura da superfície interna do tubo seja de 30 °C e que o coeficiente de transferência de calor por convecção seja de 1.000 W ∙ m -2 ∙ K -1. Nessa situação hipotética, a taxa de transferência de calor por metro de comprimento linear de tubo será de −70π W, ou seja, −70π W estarão sendo transferidos do fluido para a superfície.
Provas
- TermodinâmicaLeis e Propriedades da Termodinâmica
- TermodinâmicaTransferência de Calor (Condução, Convecção e Radiação)
Com relação à transmissão de calor, julgue o item seguinte.
Considere-se que um fluido esteja escoando através de um tubo de diâmetro interno D que absorve uma quantidade Q de calor por metro de comprimento de tubo. Considere-se, também, que a temperatura da superfície do tubo seja Tp e que o coeficiente de transferência de calor por convecção seja h. Nesse caso, a temperatura média do fluido T∞ é corretamente expressa pela equação a seguir.

Provas
- TermodinâmicaLeis e Propriedades da Termodinâmica
- TermodinâmicaTransferência de Calor (Condução, Convecção e Radiação)
Com relação à transmissão de calor, julgue o item seguinte.
Considere-se que um fluido, a uma temperatura T∞, se mova em contato com uma superfície de área A, que se encontra a uma temperatura Tp, e que, se Tp >T∞ , haverá transferência de calor (q) da referida superfície para o fluido. Nesse caso, o cálculo do fluxo de calor por convecção pode ser corretamente realizado por meio da equação de Newton, q = h(T∞ - Tp) , em que h representa o coeficiente e troca de calor por convecção em W ∙ m -2 ∙ K -1.
Provas
No que concerne a escoamento de fluidos em tubos, válvulas e bocais, julgue o item subsequente.
Válvulas, bem como curvas, joelhos e bifurcações, são acessórios presentes em uma tubulação que causam um distúrbio no escoamento do fluido, provocando perda de carga localizada.
Provas
No que concerne a escoamento de fluidos em tubos, válvulas e bocais, julgue o item subsequente.
Os bocais, ou tubos adicionais, cujo comprimento deve estar entre 1,5 e 3,0 vezes o valor do seu diâmetro, são constituídos de peças tubulares adaptadas aos orifícios e têm a finalidade de dirigir o jato de determinado fluido.
Provas

A partir dessas informações, julgue o item que se segue.
A velocidade do fluido em uma determinada seção da tubulação é dada por 8/π m/s.
Provas

A partir dessas informações, julgue o item que se segue.
O escoamento do fluido na tubulação é caracterizado como turbulento, com número de Reynolds (Re ) igual a π /8 x 104.
Provas

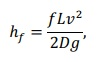
A partir dessas informações, julgue o item que se segue.
A perda de carga (hf) linear causada pelo atrito, usando-se a fórmula de Darcy-Weisbach (universal), é corretamente expressa por hf = 400/π2 m.
Provas
Julgue o próximo item, relativo a processos corrosivos, instrumentação para o monitoramento de encostas e sistema de informações georeferenciadas (GIS).
O strain-gage mede qualquer movimento lateral que possa indicar instabilidade do solo ou ameaças à integridade do gasoduto, sendo especialmente útil em áreas propensas a deslizamentos de terra.
Provas
Julgue o próximo item, relativo a processos corrosivos, instrumentação para o monitoramento de encostas e sistema de informações georeferenciadas (GIS).
A geocodificação e o georreferenciamento permitem que endereços ou outros dados não geográficos sejam associados a coordenadas geográficas, tornando-os adequados para análises espaciais.
Provas
Caderno Container