Foram encontradas 858 questões.
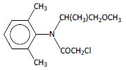
O S-metalacloro é representado pela fórmula:

Este é o ingrediente ativo de um herbicida de uso geral, aplicado no controle de ervas daninhas. Existem evidências da contaminação de águas subterrâneas e superficiais por esse herbicida e também de bioacumulação em peixes.
Na estrtura do 5-metolacloro estão presentes as funções orgânicas
Provas
Os compostos de enxofre, sobretudo o dióxido de enxofre, SO2, estão entre os gases poluentes mais comuns. Vários métodos têm sido desenvolvidos para a remoção de SO2 dos gases formados quando o carvão e o petróleo são queimados.
O calcáreo em pó pode ser injetado no forno de uma usina de energia, onde se decompõe em CaO e CO2, sendo o processo de remoção de SO2 ilustrado no esquema a seguir:

Considerando que com esse processo é possível retirar todo o SO2 produzido na queima do carvão, o número de moléculas desse gás que deixariam de atingir a atmosfera, reagindo totalmente 28kg de CaO, é:
Dados: Massa molar (g.mol-1): O=16Ca=40
Provas
Alumínio metálico pode ser produzido eletroliticamente pelo processo Hall-Héroult em que o !$ Al_2O_3 !$ é dissolvido em criolita fundida, Na3A!$ l !$F6.
Nesse processo o íon alumínio é reduzido a alumínio metálico e o íon O2- é oxidado a O2, que reage com os anodos de carbono gerando CO2. A massa de alumínio obtida nessa eletrólise por uma corrente de 8,0A durante 3 horas e 20 minutos e rendimentos de 100%, é de:
Dados: Massa molar (g.mol-1): A!$ l !$=27 1F=96500C
Provas
Para o preparo em laboratório de uma solução 4% (massa/volume) de hidróxido de sódio a partir de 50 mL de uma solução 5 mol. L-1 dessa base, é necessário
Dados: Massa molar (g.mol-1): Na= 23 O=16 H=1
Provas
A decomposição do NOC!$ l !$ pode ser descrita pela reação elementar: 2NOC!$ l !$(g) → 2NO(g)+C!$ l !$2(g).
Sendo a velocidade dessa reação dada em mol.L–1 . s–1, a sua constante de velocidade será expressa em
Provas
Os filmes finos são usados em microeletrônica como condutores, resistores, capacitores e em revestimentos óticos em lentes. Esses filmes podem ser produzidos pela deposição de vapor químico, utilizando tetrabrometo de titânio que é evaporado e misturado com hidrogênio gasoso. A mistura é passada sobre uma superfície aquecida a aproximadamente 1300ºC. O haleto metálico sofre reação com hidrogênio para formar um revestimento de titânio metálico.
A massa máxima de titânio metálico que poderá ser produzida quando 8 mol de gás hidrogênio reagem com o tetrabrometo de titânio, considerando um rendimento de 100% no processo, é:
Dados: Massa molar (g.mol–1): H = 1Ti = 48 Br=80
Provas
Os óxidos de nitrogênio são os componentes principais das névoas, um fenômeno ao qual os habitantes das grandes cidades estão habituados. O óxido nítrico forma-se em pequenas quantidades nos cilindros de combustão interna dos motores pela combinação direta de nitrogênio e oxigênio:
![]()
A constante de equilíbrio para essa reação aumenta de aproximadamente 10–15 a 300K para cerca de 0,05 a 2400 K (temperatura aproximada no cilindro de um motor em funcionamento).
Com relação à reação entre o gás nitrogênio e o gás oxigênio, assinale a afirmativa correta.
Provas
A Lei de Efusão de Gases, escrita por Graham em 1846, afirma: “a velocidade de efusão de um gás é inversamente proporcional à raiz quadrada de sua densidade,ou de seu peso molecular.”
A velocidade de um gás hipotético X2, através de um orifício, corresponde a 0,315 vezes à velocidade do gás hidrogênio (H2), formado apenas por isótopos de número de massa 1,0 através do mesmo orifício nas mesmas condições de temperatura e pressão. O valor do número de massa de X determinado pela Lei de Graham é aproximadamente:
Dado: !$ \sqrt {2} = 1,414 !$
Provas
Uma amostra de 0,100 g de propano foi queimada com excesso de oxigênio em um calorímetro calibrado de pressão constante, cuja capacidade calorífera é de 520 J.ºC–1. Nessa experiência a temperatura do calorímetro aumentou 9,62ºC.
Utilizando os dados apresentados, a entalpia de combustão do propano em kJ.mol–1 é aproximadamente:
Dados: Massa molar (g.mol–1): H = 1 C = 12
Provas
Uma reação de oxidação do ácido acético com permanganato de potássio em meio ácido fornece como produtos sulfato de potássio, sulfato de manganês (II), dióxido de carbono e água.
Na equação que representa essa reação balanceada com os menores coeficientes estequiométricos inteiros, o coeficiente estequiométrico da água é
Provas
Caderno Container