Magna Concursos

Foram encontradas 50 questões.

1624028 Ano: 2006
Disciplina: Matemática
Banca: Pref. Rio Janeiro-RJ
Orgão: SME Rio Janeiro-RJ
Provas:

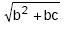
Considere-se um triângulo ABC, onde a medida do ângulo A é o dobro da medida do ângulo B. A medida do lado a, oposto ao ângulo Â, em função dos lados b e c, é:

 

Provas

Questão presente nas seguintes provas
1624027 Ano: 2006
Disciplina: Matemática
Banca: Pref. Rio Janeiro-RJ
Orgão: SME Rio Janeiro-RJ
Provas:

Considerem-se as funções quadráticas definidas por y =(a + 1)x2 − 2ax −(3a + 7) na variável x, com o parâmetro a. Todos os gráficos destas funções apresentam uma corda comum. O comprimento da corda é:

 

Provas

Questão presente nas seguintes provas
1624026 Ano: 2006
Disciplina: Matemática
Banca: Pref. Rio Janeiro-RJ
Orgão: SME Rio Janeiro-RJ
Provas:

enunciado 1624026-1

 

Provas

Questão presente nas seguintes provas
1624025 Ano: 2006
Disciplina: Matemática
Banca: Pref. Rio Janeiro-RJ
Orgão: SME Rio Janeiro-RJ
Provas:

Geraldo comprou um terreno para construção e um campo para o cultivo de soja que têm, juntos, uma superfície de 1ha e 56a. O terreno custou R$ 19 200,00, e o campo R$ 14 000,00. O metro quadrado do terreno custa R$ 11,00 a mais que o do campo. Os preços dos metros quadrados do terreno e do campo são, respectivamente:

 

Provas

Questão presente nas seguintes provas
1624024 Ano: 2006
Disciplina: Matemática
Banca: Pref. Rio Janeiro-RJ
Orgão: SME Rio Janeiro-RJ
Provas:

enunciado 1624024-1

 

Provas

Questão presente nas seguintes provas
1624023 Ano: 2006
Disciplina: Matemática
Banca: Pref. Rio Janeiro-RJ
Orgão: SME Rio Janeiro-RJ
Provas:

enunciado 1624023-1

 

Provas

Questão presente nas seguintes provas
1624022 Ano: 2006
Disciplina: Matemática
Banca: Pref. Rio Janeiro-RJ
Orgão: SME Rio Janeiro-RJ
Provas:

Em uma mesa de uma lanchonete, o consumo de 3 sanduíches, 7 xícaras de café e 1 pedaço de torta totalizou R$ 31,50. Em outra mesa, o consumo de 4 sanduíches, 10 xícaras de café e 1 pedaço de torta totalizou R$ 42,00. Considerando-se que cada uma das mercadorias tem preço único, o preço do consumo de 1 sanduíche, 1 xícara de café e 1 pedaço de torta é:

 

Provas

Questão presente nas seguintes provas
1624021 Ano: 2006
Disciplina: Matemática
Banca: Pref. Rio Janeiro-RJ
Orgão: SME Rio Janeiro-RJ
Provas:

enunciado 1624021-1

 

Provas

Questão presente nas seguintes provas
1624020 Ano: 2006
Disciplina: Matemática
Banca: Pref. Rio Janeiro-RJ
Orgão: SME Rio Janeiro-RJ
Provas:

enunciado 1624020-1

 

Provas

Questão presente nas seguintes provas
1624019 Ano: 2006
Disciplina: Matemática
Banca: Pref. Rio Janeiro-RJ
Orgão: SME Rio Janeiro-RJ
Provas:

Considere um trapézio ABCD retângulo em A, cuja medida do lado BC é o dobro da medida do lado AB, sendo esta a base menor do trapézio. Seja ainda M o ponto médio do lado BC e 114º a medida do ângulo D Mˆ B . Nestas condições, a medida do menor ângulo do trapézio é:

 

Provas

Questão presente nas seguintes provas